立即注册找回密码

QQ登录

只需一步,快速开始

微信登录

微信扫一扫,快速登录

搜索
小桔灯网 门户 资讯中心 产品杂谈 查看内容

干货分享丨电化学免疫传感器的原理、特点、应用及发展

2022-6-9 15:43| 编辑: 沙糖桔| 查看: 5219| 评论: 0|来源: IVD分享库 | 整理:Bin仔

摘要: 电化学免疫传感器是基于抗原抗体反应的,可进行特异性的定量或半定量分析的自给式的集成器件


电化学免疫传感器的原理与特点


根据2001年国际纯粹与应用化学联合会对生物传感器的分类标准,电化学免疫传感器是基于抗原抗体反应的,可进行特异性的定量或半定量分析的自给式的集成器件,其中抗原/抗体是分子识别元件,且与电化学传感元件直接接触,并通过传感元件把某种或者某类化学物质浓度信号转变为相应的电信号。



与常规免疫分析仪器相比,电化学免疫传感器能直接将生物信号转化为电信号,便于检测和处理,无需复杂仪器及操作,仪器简单、价格低廉、测定快速准确、具有足够的灵敏度、适于现场检测。电化学检测过程不受样品颜色和深浊度的影响,并且避免了放射性污染等弊端,无毒害作用。


电化学免疫传感器主要包括安培型(电流型)免疫传感器、电位型免疫传感器、电导型免疫传感器和电容型免疫传感器等,其中安培型免疫传感器的研究报道最多,发展最快。


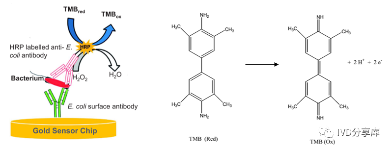
安培型免疫传感器利用电活性物质把生物亲和反应能转换为电流信号,灵敏度高,适合于痕量检测。1979年Aizawa等第一次报道了用于检测人绒毛膜促性腺激素的安培型免疫传感器。安培型免疫传感器以酶作为标记物,利用标记物酶对底物的催化反应,通过检测特定电压下酶催化底物产生的电流信号实现检测。



电位型免疫传感器结合了免疫分析的高灵敏度和离子选择电极、气敏电极等的高选择性,可以直接或者间接检测各种抗原、抗体。1975年Janata首次报道了电位型免疫传感器,利用聚氯乙烯(PVC)膜将抗体固定于铂电极上,当相应的抗原与抗体特异性结合后,抗体膜中的离子迁移率发生变化,从而导至电极上的膜电位发生改变,根据电位的变化值求出待测物的浓度。离子敏场效应晶体管(ISFET)是离子选择性电极和金属-氧化物-半导体场效应晶体管(MOSFET)相结合的一类特殊的电位型传感器,与传统的离子选择性电极相比,它具有体积小、灵敏度高、响应快、检测仪表简单方便输入阻抗高、输出阻抗低,能够进行阻抗变换和信号放大,可避免外界感应与次级电路的干扰作用等优势。离子敏场效应免疫传感器将免疫检测与FET传感器相结合,在FET的栅极表面固定抗体,抗原抗体结合产生的荷电状态会引起膜电位的变化,利用这种现象实现待测物质的检测。非特异性吸附和背景干扰等问题是电位型免疫传感器需要解决的关键问题。


电导型免疫传感器是基于免疫生化反应产生或者消耗离子引起的溶液导电性的变化实现检测。


声明:
1、凡本网注明“来源:小桔灯网”的所有作品,均为本网合法拥有版权或有权使用的作品,转载需联系授权。
2、凡本网注明“来源:XXX(非小桔灯网)”的作品,均转载自其它媒体,转载目的在于传递更多信息,并不代表本网赞同其观点和对其真实性负责。其版权归原作者所有,如有侵权请联系删除。
3、所有再转载者需自行获得原作者授权并注明来源。

最新评论

关闭

官方推荐 上一条 /3 下一条

客服中心 搜索 洽谈合作