立即注册找回密码

QQ登录

只需一步,快速开始

微信登录

微信扫一扫,快速登录

搜索

ctDNA可显著优化新辅助治疗(NAT)耐药乳腺癌的风险分层

2025-12-29 10:56| 发布者: 沙糖桔| 查看: 1101| 评论: 0|原作者: 小桔灯网|作者:动力彩虹

摘要: ctDNA的动态变化增强了RCB的预后作用,通过细化对NAT抵抗型肿瘤(RCB-II/RCB-III)的风险分类,支持了ctDNA作为早期生存指标来补充RCB的可能性。

转移性乳腺癌是导至患者发病率和死亡率的重要因素,降低癌症扩散风险的一种方法是在手术前使用新辅助治疗(NAT)来处理乳腺肿瘤。新辅助治疗获得病理完全缓解(pCR),即乳腺和区域淋巴结中无残留癌负荷(RCB-0),是良好长期预后的有力预测指标;然而,在HR+/HER2-疾病中,约 50%的患者对NAT治疗具有耐药性(RCB-II/RCB-III ),但仅有约15%至30%患者在3年内会出现转移复发的情况。这凸显了NAT耐药肿瘤的异质性及对RCB-II/RCB-III类型患者的准确风险分层的重要性。

近日,来自UCSF的研究团队在杂志Nature communications上发表了一篇题为“Circulating tumor DNA refines risk stratification of neoadjuvant therapy resistant breast tumors”的文章。研究团队探索了使用循环肿瘤DNA(ctDNA)作为液体活检标志物,优化NAT耐药肿瘤的风险分层,并预测治疗反应。本研究通过大规模临床数据证实,ctDNA动态监测可显著优化NAT耐药乳腺癌的风险分层,早期清除(第3周)作为强预测指标为个体化治疗决策提供关键依据。在 NAT 耐药型肿瘤中,ctDNA 阴性或ctDNA的清除与较低的转移倾向相关。将NAT抵抗型肿瘤的风险分类细化为高转移风险和低转移风险,可以指导治疗决策(降级或升级),以避免过度治疗或克服对NAT的耐药性。

图片来源:Nature communications



主要内容


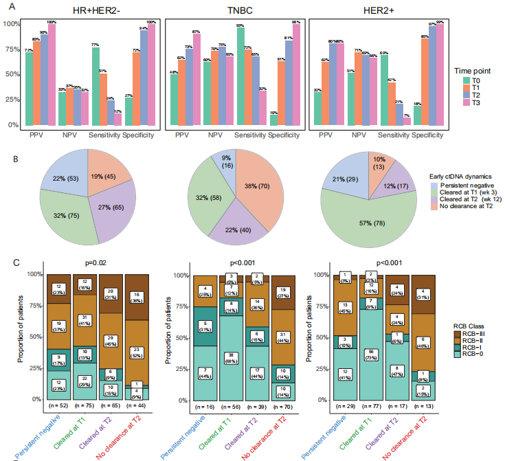
不同亚型乳腺癌ctDNA

在NAT治疗前后的阳性率

研究纳入I-SPY2试验中723例高危早期乳腺癌患者,通过肿瘤个体化检测技术,在四个关键时间点对2607份血液样本进行ctDNA分析。结果显示,在NAT治疗前(T0)时,TN亚型的ctDNA阳性率最高(92%)(图A),HR阳性/HER2阴性组和 HER2 阳性组的 ctDNA 阳性率没有显著差异。然而,在开始治疗3周后(T1),HR阳性/HER2阴性亚型的ctDNA阳性率显著高于HER2阳性组(45% VS. 25%)。在12周时(T2)和NAT之后手术前时间点 (T3),HER2阳性组的ctDNA阳性率均保持最低(图B)

新辅助治疗各时间点的ctDNA阳性率

图片来源:Nature communications


ctDNA

可独立预测转移性复发

作者评估了ctDNA的预后意义,结果显示,治疗前(T0)的 ctDNA 阳性状态是转移性复发的独立预测因素(调整后的风险比=4.40);‌T3 ctDNA阳性是预后不良的强力指标(调整后风险比=5.20)。作者还评估了ct DNA清除时间的预后意义。结果显示,晚期清除(T3)和未清除均是疾病复发无进展生存期(DRFS)的显著独立不良预后因素(风险比分别达6.88和16.50)。


ctDNA

改善了对NAT耐药肿瘤的风险分层

作者观察到对NAT响应的患者RCB-0或RCB-I可预测良好生存率。RCB-0和RCB-I的患者的3年DRFS率分别为94%和89%(图A)。NAT后的RCB-II/RCB-III患者显著与更差的DRFS相关联,但仅有 17%(RCB-II)和33%(RCB-III)的患者出现转移复发或死亡,RCB-II/RCB-III 在预测DRFS方面的特异性较低。

作者进一步研究了ctDNA状态 是否能改进 NAT 耐药肿瘤患者的风险分层。结果显示,‌T0 ctDNA阴性的RCB-II组3年DRFS达98%(vs ctDNA阳性组81%),RCB-III组达94%(vs59%)(图B)。T3 ctDNA阴性患者DRFS同样显著改善(RCB-II:88%vs57%;RCB-III:83%vs22%)(图C)。使用ct DNA清除时间进行分析,结果显示,持续阴性(98%)、早期清除(T1:91%;T2:92%) 的RCB-II和RCB-III患者DRFS明显优于晚期清除(63%)和无清除组(35%)(图D)

ct DNA 改善了对NAT耐药肿瘤的风险分层

图片来源:Nature communications


早期的ct DNA

清除与对NAT的良好反应相关

循环肿瘤DNA(ctDNA)动态变化显示,HER2 阳性组在第3周(T1)时ctDNA清除的比例最大,为57%,而HR阳性/HER2阴性组和TN组的比例分别为32%(图B)。进一步分析显示,T1时的ctDNA清除情况与NAT良好的治疗反应显著相关,早期ctDNA清除的患者中RCB-0/RCB-I的比例最高(HR 阳性/HER2 阴性:42%;TN:82%;HER2 阳性:82%)(图C)。对于不同的治疗方案,早期ctDNA清除同样能预测接受免疫检查点抑制剂(ICI)或HER2靶向药物治疗患者的良好反应。

早期的ct DNA清除与对NAT的良好反应相关

图片来源:Nature communications


ctDNA

与肿瘤突变的关联

作者研究了各时间段ctDNA变异是否保持不变。结果发现,尽管大多数RCB-II/RCB-III患者在NAT后ctDNA检测为阴性,但对其配对肿瘤样本的测序分析发现,肿瘤特异性突变在治疗中和治疗后的残留肿瘤中仍然高度保守(保存率>90%)。作者推测,治疗期间低水平或检测不到的ctDNA分泌以及ctDNA清除可能是具有低转移风险的耐天然抗原疗法肿瘤的特征。



总结与讨论


作者证明了ctDNA的动态变化增强了RCB的预后作用,通过细化对NAT抵抗型肿瘤(RCB-II/RCB-III)的风险分类,支持了ctDNA作为早期生存指标来补充RCB的可能性。从治疗开始后的3周起,ctDNA的清除情况就能够预测对NAT(包括免疫治疗)的反应。在NAT耐药型肿瘤中,ctDNA阴性或ctDNA的清除与较低的转移倾向相关。将NAT耐药型肿瘤的风险分类细化为高转移风险和低转移风险,可以指导治疗决策(降级或升级),以避免过度治疗或克服对NAT的耐药性。



声明:
1、凡本网注明“来源:小桔灯网”的所有作品,均为本网合法拥有版权或有权使用的作品,转载需联系授权。
2、凡本网注明“来源:XXX(非小桔灯网)”的作品,均转载自其它媒体,转载目的在于传递更多信息,并不代表本网赞同其观点和对其真实性负责。其版权归原作者所有,如有侵权请联系删除。
3、所有再转载者需自行获得原作者授权并注明来源。

最新评论

关闭

官方推荐 上一条 /3 下一条

客服中心 搜索 洽谈合作
返回顶部