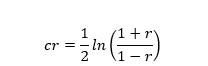
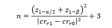
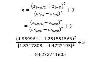
| 彭晓霞+临床研究设计+第4版提到的样本量计算公式如下:为计算相关系数样本量,利用Fisher的经典z转换将Pearson相关系数进行正态化转换。其转换公式为:  若β=0.10,置信度为α=0.05,则单目标样本计算公式: 例:样本的相关系数r1为 0.95,目标相关系数r0= 0.90,, 则研究中验证相关系数所需要的样本量为:
一.公式法 data A; alpha = 0.05; z_a = quantile("Normal", 0.025); z_b = quantile("Normal", 0.1); cr1=0.5*log((1+0.9)/(1-0.9)); cr2=0.5*log((1+0.95)/(1-0.95)); n=(z_a+z_b)**2/(cr1-cr2)**2+3; run;

但需要注意单双侧的Z值有所不同。 data A; alpha = 0.05; zLeft = quantile("Normal", 0.05); zLeft1 = quantile("Normal", 0.1); zRight = quantile("Normal", 0.975); zRight1 = quantile("Normal", 0.9);
run;

二.基于power的sas code proc power; onecorr dist=fisherz nullcorr = 0.9 corr = 0.95 ntotal = . power = 0.9;
run;

三.PASS软件样本量



基于以上三种方法,样本量一致。
|