立即注册找回密码

QQ登录

只需一步,快速开始

微信登录

微信扫一扫,快速登录

搜索
小桔灯网 门户 资讯中心 技术杂谈 查看内容

多重PCR检测:解开呼吸道混合感染之谜的利器

2023-6-9 14:10| 编辑: 沙糖桔| 查看: 2755| 评论: 0|来源: 分子E讯 | 作者:ESansure

摘要: 嗓子疼是上呼吸道感染的常见症状,其病因复杂多样。


嗓子疼是上呼吸道感染的常见症状,其病因复杂多样。流感病毒、新冠病毒、细菌、支原体和衣原体感染都可能引起嗓子疼。然而,并非所有嗓子疼都是新冠感染,需要客观对待。当前正值新冠疫情的第二波高峰期,许多患者出现类似嗓子疼的呼吸道症状,这给临床带来了巨大挑战。因此,及时确定病因对于正确诊断和治疗至关重要。对于出现嗓子疼的患者,需要仔细排除其他可能的病因,进行全面的病因分析。

新冠病毒可能与其他呼吸道病毒、细菌和非典型病原体发生混合感染。发表在权威期刊Nature Communications上的研究1表明,病毒与细菌往往存在正向的相互作用,导至病毒与细菌混合感染的情况相当普遍。这种混合感染可能进一步加重患者症状的严重性和复杂性,给治疗增加了挑战。一些研究显示,新冠病毒感染可导至呼吸道黏膜受损和免疫功能受抑制,从而为细菌感染提供了侵袭的机会。另一方面,细菌感染可能导至炎症反应增强,使病毒复制和传播更为便利。这种相互作用可能导至症状的加重、疾病的恶化,甚至增加并发症的风险。

因此,当面对嗓子疼、咽喉痛等上呼吸道感染症状时,准确鉴别病原体的重要性不言而喻。多重PCR检测技术提供了一种强大的工具,能够同时检测多种病原体的存在并区分其种类。通过一次检测能够迅速准确地识别感染病原体,为医生提供关键的诊断信息。通过对多重PCR技术的广泛应用能够更好地了解新冠病毒与其他病原体之间的相互作用,有效指导合理的治疗策略,并改善患者的预后。


PCR检测技术提高病原体

阳性检出率及合并感染率

一项回顾性研究2纳入了1125名新冠住院患者,发现其中9.1%的患者合并细菌感染,最常见的细菌为肺炎链球菌、金黄色葡萄球菌和流感嗜血杆菌。然而,由于方法学限制,传统的微生物检查在病原体的检出率和合并感染率上存在着一定的低估情况。相比之下,使用敏感性更高的检测手段,如荧光定量PCR,可以显著提高病原体的检出率和合并感染率。


新冠肺炎患者机械通气

合并细菌感染的风险显著增加

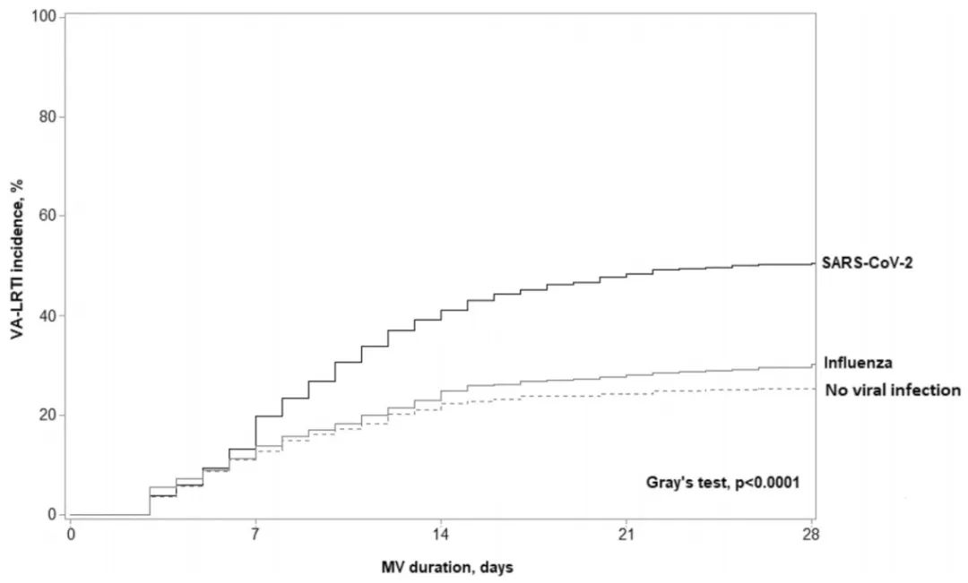
基于对欧洲36个重症监护病房(ICU)的回顾性观察性队列研究(共纳入1576名患者,包括新冠肺炎组、流感肺炎组和无病毒感染组)数据分析发现3,新冠肺炎组发生呼吸机相关性下呼吸道感染(VA-LRTI)的比例高达50.5%,显著高于流感肺炎组和无病毒感染组。而与流感肺炎组和无病毒感染组相比,新冠肺炎组的机械通气时间、ICU住院时间和抗菌治疗时间更长。此外,革兰氏阴性菌是呼吸机相关性下呼吸道感染的主要原因,占呼吸机相关下呼吸道感染的82%-89.7%,其中主要包括铜绿假单胞菌、肠杆菌和肺炎克雷伯菌。新冠肺炎组与流感肺炎组均发生细菌合并感染,结合抗生素使用情况发现,在治疗过程中新冠肺炎组与流感肺炎组均存在抗生素不合理使用的情况。这提示临床,使用PCR检测进行精准诊断可以有效指导合理用药。


呼吸机相关性下呼吸道感染的 28 天累积发病率


细菌合并感染加重新冠肺炎患者病情:

ICU患者更为严重

研究数据4显示,耐甲氧西林金黄色葡萄球菌、铜绿假单胞菌和肺炎链球菌是新冠肺炎ICU患者细菌合并感染中最常见的病原体。同时,入住ICU的新冠肺炎患者如果同时发生细菌感染,他们更容易患有高血压、糖尿病、慢性阻塞性肺疾病和血液系统疾病。此外,细菌合并感染患者的疾病严重程度评分较高,且更早入住ICU,更频繁使用有创机械通气,更容易发生急性肾损伤,ICU住院时间更长、死亡率更高。这些结果强调了细菌合并感染在新冠肺炎患者中的不良影响,为采取相应的临床管理和治疗策略提供了依据。


新冠肺炎患者细菌合并感染

与继发感染分析

对新冠肺炎患者细菌合并感染和继发性细菌感染情况进行分析发现,最常见的细菌包括金黄色葡萄球菌、克雷伯菌属和凝固酶阴性葡萄球菌。细菌合并感染的患病率在门诊、住院部和重症监护室中分别为1.9%、4.4%和15.4%5。与无细菌合并感染的患者相比,细菌合并感染患者的住院时间和住院死亡率明显增加6。此外,与细菌合并感染相比,继发性细菌感染更常见(13.1%),尤其值得注意的是在ICU中新冠肺炎患者的继发性细菌感染发病率高达41.9%5


新冠肺炎患者细菌感染的微生物学特征


基于医疗机构的合并感染和继发感染患病率的森林图分析


总结

呼吸道病原体的准确诊断及鉴别诊断对于治疗方案和预后预测至关重要。传统的微生物检查方法在病原体检出和合并感染检出方面存在一定的局限性,特别是对于复杂的混合感染情况。多重PCR检测技术的广泛应用可以提高病原体检出率和合并感染率,并为临床提供重要的诊断信息,有助于指导合理的治疗策略,避免不必要的抗生素使用,减少并发症的发生,提高治疗效果和患者的安全性。


参考文献

1. Li ZJ, Zhang HY, Ren LL, et al. Etiological and epidemiological features of acute respiratory infections in China. Nat Commun. 2021 Aug 18;12(1):5026.

2. Moreno-García E, Puerta-Alcalde P, et al. Bacterial co-infection at hospital admission in patients with COVID-19. Int J Infect Dis. 2022 May;118:197-202.

3. Rouzé A, Martin-Loeches I, Povoa P, et al. Relationship between SARS-CoV-2 infection and the incidence of ventilator-associated lower respiratory tract infections: a European multicenter cohort study. Intensive Care Med. 2021 Feb;47(2):188-198.

4. Carbonell R, Urgelés S, Salgado M, et al. Negative predictive value of procalcitonin to rule out bacterial respiratory co-infection in critical covid-19 patients. J Infect. 2022 Oct;85(4):374-381.

5. Langford BJ, So M, Leung V, et al. Predictors and microbiology of respiratory and bloodstream bacterial infection in patients with COVID-19: living rapid review update and meta-regression. Clin Microbiol Infect. 2022 Apr;28(4):491-501.

6. Westblade LF, Simon MS, Satlin MJ. Bacterial Coinfections in Coronavirus Disease 2019. Trends Microbiol. 2021 Oct;29(10):930-941.

撰写 | 单一鸣

校稿 编审 | 缪为民 刘娟

编辑 | 谭易秋子

注:图片源于网络 侵删

声明:①本公众号所发表的原创内容,如需转载,须在文首位置注明来源。②本公众号所有发表内容,注明出处的,版权归原出处所有,与公众号立场无关。

声明:
1、凡本网注明“来源:小桔灯网”的所有作品,均为本网合法拥有版权或有权使用的作品,转载需联系授权。
2、凡本网注明“来源:XXX(非小桔灯网)”的作品,均转载自其它媒体,转载目的在于传递更多信息,并不代表本网赞同其观点和对其真实性负责。其版权归原作者所有,如有侵权请联系删除。
3、所有再转载者需自行获得原作者授权并注明来源。

最新评论

关闭

官方推荐 上一条 /3 下一条

客服中心 搜索 洽谈合作
返回顶部