立即注册找回密码

QQ登录

只需一步,快速开始

微信登录

微信扫一扫,快速登录

搜索

技术|引物和探针中标记的核苷酸的标签、结合和检测(二)

2022-6-28 15:10| 编辑: 沙糖桔| 查看: 3217| 评论: 0|来源: 诊断科学

摘要: 这些标签可以直接使用荧光显微镜或PCR设备或测序仪中敏感的CCD照相机进行检测。

3、标签的检测


荧光色素(其中包括FITC、TRITC、AMCA、Cy3、Cy5、JOE™、FAM™、HEX™、TAMRA™和VIC™)被广泛作为标签使用(见表1)。这些标签可以直接使用荧光显微镜或PCR设备或测序仪中敏感的CCD照相机进行检测。


表1 | 常用的氟色素。荧光色素可以连接到核苷酸三磷酸酯的寡核苷酸上,如UTP、ATP、CTP,或用于qPCR、测序(SEQ)、核酸的定量和熔解曲线分析(MCA),或用作猝灭剂

FRET:福斯特共振能量转移

ISH:原位杂交

(*)当猝灭是结果时,发射波长不相关

(#) U(尿嘧啶)也可以被其他氮基取代,例如 「A」


FITC、TRITC和AMCA主要用于荧光原位杂交(FISH),特别是用于细胞或组织样品(组织学样品、细胞孢子、或细胞涂片、拭子)或临床样品微生物培养后的样品,以检测病原体。


在病理学和遗传学中,染色体异常可以用染色体特异性探针进行诊断。正确的抗褪色剂可以防止荧光信号的褪色。探针的性质强烈地决定了识别基因片段和完整染色体的分辨率(图9)。

图9 | 染色体的杂交

用四种不同类型的荧光探针对染色体进行杂交;每一种探针都有不同的分辨率,应用于蜕膜期(左栏)和界面期(右栏)的细胞中。探针越大,图像越发扩散。

来源 不可追踪。

a 带有「染色体绘画」的总探针:探针来源于一个完整的染色体库,在完整的染色体上杂交。探针被分割成碎片以促进扩散。这将在缺口翻译或随机引物中自动发生。

b 中心粒探针:一个合成的寡核探针可以识别中心粒上的重复序列((ACAAACT/ACAAATT)n)。中心粒探针可用于识别染色体数量的差异。

c 基因特异性探针是由特定的寡核苷酸或PCR或质粒探针(通常是随机引物或缺口翻译)组成的混合物。值得注意的是,这种探针只识别特定基因的独特序列。

d 某些染色体的三体化可以通过使用特异性探针进行观察


Cy3和Cy5主要用于微阵列和DNA芯片,Cy5也作为水解探针的标签。JOE™、FAM™、HEX™、™ VIC™和许多其他标签在实时PCR中以不同的组合使用。


4、触变剂


触变剂经常被用作引物和探针的标签。知名的触变剂是氟色素(FITC)、地高辛、溴脱氧尿苷和生物素。除了氟染色剂,标签不提供可检测的信号。为了使其可视化,需要有报告基团(见图2)。酶(过氧化物酶、碱性磷酸酶、ß-半乳糖苷酶)、胶体金颗粒和氟色素都是报告基团的例子。每种报告基团类型都可以通过适当的技术进行可视化。


中间试剂如合子特异性抗体将报告基团与合子现场耦合/结合在一起(图4(3a))。由于抗体的特异性只基于分子的抗原结合部分(Fab;Fragment抗原结合),而不是分子的其他区域,这允许后续的检测反应,基于共同的分子。这主要是在分子的Fc部分(Fragment crystallizable)(见图4(3))。这可以是Fc特异性的,报道标记的第二抗体或Fc-检测蛋白A或G(图4(3))。通常使用一个合子/标签系统。


链霉亲和素-生物素介导的检测:生物素标签可以被检测,不仅可以用生物素引导的抗体,还可以有效地用微生物肽;链霉亲和素(图4(3b,4)和图3)。报告基团如酶或荧光色素可以与链霉亲和素偶联。链霉蛋白-生物素检测被广泛使用,既可用于直接杂交,也可与几种PCR策略相结合,如PCR-ELISA(见图10)。

图10 | PCR-ELISA

用生物素化引物和生物素-dUTP进行常规PCR后,样品被稀释1/20,并在涂有链霉亲和素的96或384孔ELISA板中孵化。扩增物通过链霉亲和素-生物素的相互作用被捕获,之后进行几个洗涤步骤。通过经典的TMB/H2O2-酶反应,使用带有过氧化物酶报道的特异性抗体来检测荧光铬标记的扩增物。

一种更便宜的替代检测,只需要一个生物素标记的引物,通过链霉菌素建立检测。链霉亲和素被固定在平板上,然后进行变性,只有一个氟铬标记的扩增物特异性探针与(生物素化的)单链扩增物杂交。


一个链霉菌素分子有四个生物素的结合点。其中一个需要与生物素化的扩增物或杂交的生物素化的探针进行高亲和力反应。三个生物素结合位点用于与生物素/报道复合物结合。这样,许多生物素化的酶分子或其他报告基团可以通过链霉菌素叠加到一个生物素标签上。荧光染色体与生物素以严格的比例耦合到可以通过生物素与链霉菌素结合的载体(例如BSA)上。使用提拉米特放大法可以进一步增加信号(见图11)。

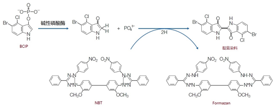
图11 | 碱性磷酸酶检测(不溶性产物)

碱性磷酸酶催化NBT/BCIP的磷酸化。自发的氧化还原反应后形成不溶性沉淀物。NBT(硝基蓝色氯化四氮唑)是一个质子受体,将在红色的福马赞中转移,而BCIP(5-溴-4-氯-3′-吲哚磷酸对甲苯胺盐)将被解磷化,并在蓝色的不溶性物质(5,5′-二溴-4,4′-二氯化靛)中还原。两种参与的结果都是紫色的参与。这种技术经常用于膜上或原位杂交。


5、报告基团


报告基团直接(荧光色素)或间接(酶、胶体金)提供荧光或吸光信号,用于识别杂交探针(见图2)。当应用荧光色素作为报告基团时,可以通过荧光显微镜或CCD荧光测量仪同时检测(直接检测)。PCR广泛使用荧光色素,尽管有些平台使用间接检测。


当报告基团本身不产生信号而需要额外的步骤进行可视化时,就需要间接检测。目前,酶是最广泛使用的。结合与固相(尼龙膜、细胞、组织)的杂交,它们会产生一个沉淀物。在某些情况下,需要一个可溶性的产品,如ELISA格式。酶总是需要一个可溶性底物来转化为可检测的产物。


过氧化物酶使用过氧化物(H2O2)作为底物,与非特异性质子供体结合(图12)。

TMB = 溶剂的质子供体(黄色)。

DAB = 细胞、组织和膜中反应的质子供体(棕色)。棕色沉淀物在银化后或用10mM咪唑反应后会变成黑色。


图12 | 过氧化物酶催化的检测反应总体原理

过氧化物酶的底物是过氧化物(H2O2),将被还原为水(H2O)。质子供体,如DAB(二氨基联苯胺)或AEC(氨基乙基咔唑)和TMB(四甲基联苯胺)将被氧化。这些供体与细胞质子供体如辅酶NADH、NADPH或FADH同源。信号将通过化学反应产生,其中致色剂、荧光或发光的质子供体被氧化。


在两个质子的作用下,底物过氧化物将被过氧化物酶转化为2H2O分子。有多种非特异性质子供体,其中四甲基联苯胺(TMB)会产生一种黄色的可溶性产物,可用于多孔系统的检测。二氨基联苯胺(DAB)产生一种不溶性产物,主要用于细胞组织学,在报告基团附近形成棕色沉淀物(见图13)。

图13 | 优化DNA原位杂交的蛋白质消化。在CasKi细胞的福尔马林固定石蜡切片上优化蛋白质消化(在20mM Tris-HCl pH 7.4和10mM EDTA中加入1mg/ml蛋白酶K),每核含有约400个HPV16拷贝的各种串联重复。重复序列由微小的黑点显示出来。当蛋白酶解太温和时,靶点将很难被接触到(a)。超过最佳值,过多的蛋白质会丢失,在ISH过程中非常容易受到攻击性处理,会导至形态学细节减少(c)。

a 孵化1.5分钟。(消化有限;形态良好,斑点少)。

b 孵育2.5分钟(最佳消化,充分的形态学,斑点定位和足够的斑点数量)。

c 孵化3.5分钟。(失去形态细节,大多数斑点)


过氧化物酶的一种特殊底物是Tyramide,与氟色素或生物素标签共轭(图14)。在过氧化物酶的转化后,Tyramide共轭物会沉淀下来。随后,这种沉淀物作为新的报告基团层的起点,大大地提高了灵敏度。

图14 | 原位杂交时的Tyramide扩增作用

在加入标签和报道过氧化物酶后,使用一种特殊的过氧化物酶底物。底物是Tyramide的共轭物,与生物素(右部)或荧光色素(左部)共轭。过氧化物酶将替拉米特共轭物转化为可见的不溶性荧光产物,该产物将粘附(并集中)在直接附近的芳香族氨基酸上。与生物素-酪胺酸的沉淀反应将进一步加强。一个酶分子将沉淀出其附近的许多蛋白质。每个生物素都会与链霉菌素/生物素/过氧化物酶复合物结合。通过正常的底物转换,将形成棕黑色产物


碱性磷酸酶在碱性pH值下水解各种磷酸化的有机分子的磷酸基。这种酶很受欢迎,可以用所谓的自带颜色的底物反应进行可视化杂交。5-溴-4-氯-3ʹ-吲哚磷酸对甲苯胺盐(BCIP)在质子接受体硝基蓝四唑鎓氯化物(NBT)的存在下,被酶促转化为深紫色的非溶性反应产物(见图11)。


过氧化物酶和碱性磷酸酶都可用于滤波杂交,如反线(Southern)印迹法,结合敏感的ECL技术(电化学发光法;化学发光法)。


ECL的结果是一个发光的终端产品,可以使用光敏薄膜(或膜)、闪烁(发光计)或高灵敏度的CCD相机和数字数据存储来检测。与环状二酰肼如鲁米诺通过过氧化物酶(图15a)或二氧乙烷衍生物与碱性磷酸酶或ß-半乳糖苷酶(图15b)的酶促反应导至ECL。

图15 | 增强型化学发光法

a 使用过氧化物酶的增强化学发光(ECL):在碱性环境中,过氧化物酶作为质子受体存在,会氧化鲁米诺。鲁米诺的中间产物会在428纳米处发光(发光)。化学增强剂如二酰肼将信号放大100倍。蓝色感光胶片像自动辐射图一样捕获到发射的光。

b 碱性磷酸酶的增强化学发光(ECL):使用ECL对二氧杂环丁烷进行电化学检测的反应原理。1,2-二氧杂环己烷是一种高能量的过氧化物,解离后会发出化学发光。Lumigen® PPD lumiphos® 530和AMPPD是二氧杂环乙烷的水溶性衍生物。酶解磷酸盐后,该物质将通过中间产物解离,在发射光子(发光)下形成疏水性产物。通过吸收这些中间产物进入一个胶束,现有的CTAB(十六烷基三甲基溴化铵)和一个荧光衍生物,光子能量将被转移到荧光色素中。这个氟色素将发出400个以上的化学发光,然后解离的丙烯氧化物二氧杂环。


胶体金通过银沉淀的方式得到加强,从而形成黑色沉淀。



声明:
1、凡本网注明“来源:小桔灯网”的所有作品,均为本网合法拥有版权或有权使用的作品,转载需联系授权。
2、凡本网注明“来源:XXX(非小桔灯网)”的作品,均转载自其它媒体,转载目的在于传递更多信息,并不代表本网赞同其观点和对其真实性负责。其版权归原作者所有,如有侵权请联系删除。
3、所有再转载者需自行获得原作者授权并注明来源。

最新评论

关闭

官方推荐 上一条 /3 下一条

客服中心 搜索 洽谈合作
返回顶部