立即注册找回密码

QQ登录

只需一步,快速开始

微信登录

微信扫一扫,快速登录

搜索

开发|了解预后与预测生物标志物

2022-5-11 10:27| 编辑: 沙糖桔| 查看: 2553| 评论: 0|来源: 诊断科学 | 作者:认真的刘博

摘要: 影响病人临床结果的因素很多,包括病人的内在特征、疾病或医疗条件,以及病人接受的任何治疗的效果。


影响病人临床结果的因素很多,包括病人的内在特征、疾病或医疗条件,以及病人接受的任何治疗的效果。


一些内在特征可以反映为预后生物标志物,即用于识别患有相关疾病或医疗条件的患者发生临床事件、疾病复发或进展的可能性的生物标志物,以及其他预测生物标志物,即用于识别比没有该生物标志物的类似个体更有可能因接触医疗产品或环境剂而经历有利或不利影响的生物标志物。


如果只研究接受过特定疗法的病人,一般不能区分预后生物标志物和预测生物标志物。有些生物标志物既是预后的又是预测的。预测生物标志物通常从观察数据中确定,并经常被用来确定更有可能出现特定结果的病人。


为了确定一个预测生物标志物,通常应该对有和没有该生物标志物的病人进行治疗和对照的比较。


然而,在有些情况下,临床前和早期的临床数据提供了令人信服的证据,证明一种新的治疗方法对没有生物标志物的病人不起作用,因此只在富含推定的预测生物标志物的人群中进行明确的临床试验。BRAF抑制剂vemurafenib用于治疗BRAF V600E突变阳性的晚期黑色素瘤患者,就是这种情况的一个例证。


区分预后生物标志物和预测生物标志物可能很困难,正如以下例子所说明的。考虑到一个涉及生存结果和二元生物标志物的简单例子,图1A说明了在没有接受标准或不接受治疗的患者的生存曲线的情况下,与接受实验性治疗的患者生物标志物状态相关的生存分布差异可能被误解为生物标志物阳性的患者从该治疗中获得更大益处的证据。在本图和随后的数字中,假设患者已被随机分配接受实验性或标准疗法。

图1 | 具有预后但不具有预测的生物标志物示例

假设患者被随机分配到实验性和标准性疗法:

A)对于接受实验性治疗的患者,生物标志物阳性者(黑色曲线)比生物标志物阴性者(灰色曲线)生存时间长;

B)对于那些接受标准疗法的患者,生物标志物与生存期的差异相同(黑色虚线曲线与灰色虚线曲线);

因此,它具有预后作用。相对于标准疗法(虚线曲线),生物标志物不能预测实验疗法(实线曲线)的受益情况,因为在每个生物标志物亚组内,无论接受何种治疗,生存分布都是一样的。


在图1A中的生存曲线上叠加一对新的生存曲线,反映出接受标准疗法的患者的结果,显示标准疗法存在同样的根据生物标志物状态的生存差异(图1B)。因此,图1A和1B中的生物标志物是预后的,但不是预测的,对选择标准和实验性治疗没有帮助。

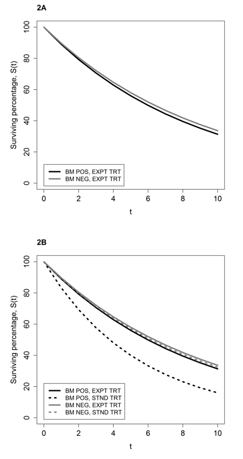
图2 | 既有预后(阴性)又有预测的生物标志物示例

假设患者已被随机分配到实验性和标准性治疗:

A)对于接受实验性治疗的患者,生物标志物阳性者(黑色曲线)与生物标志物阴性者(灰色曲线)的生存期相似;

B)对于接受标准治疗的患者,生物标志物阳性者与生物标志物阴性者(灰色虚线)相比,生存期更短(黑色虚线);

因此,生物标志物具有阴性的预后作用。相对于标准疗法(虚线),生物标志物还能预测实验疗法(实线曲线)的受益情况,因为与标准疗法(黑色虚线曲线)相比,接受实验疗法(黑色实线曲线)的患者生存期大大延长;而对于生物标志物阴性的患者(灰色曲线),无论接受何种治疗,其生存期分布都是一样。


相反,图2A说明了一种情况,在这种情况下,生物标志物起初可能不提供对决定是否进行实验性治疗有用的信息,但经过充分的分析,生物标志物具有预测。从图2B中生物标志物呈阳性并接受标准治疗的患者的生存率较低可以看出,该生物标志物是一种阴性预后生物标志物。


图2B得出了正确的结论,即生物标志物确实具有预测,因为生物标志物阳性的患者(在标准治疗中表现较差)从实验性治疗中明显受益,在该治疗中表现与生物标志物阴性的患者一样好。生物标志物阴性的病人在这两种治疗中的生存率没有差别。


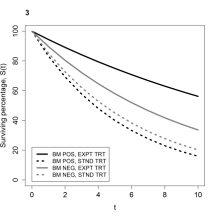
在评估预测生物标志物在两种治疗方案之间选择的临床效用时,可能会有其他考虑。图3描述了这样一种情况:实验性治疗导至生物标志物阳性和阴性患者的生存率提高,尽管获益的程度不同。除非毒性或其他成本盖过了其中一个亚组的生存获益,否则对于所有患者来说,实验性疗法很可能比标准疗法更受欢迎,而生物标志物可能对这两种疗法的选择没有帮助。在统计学方面,图3传达了定量治疗-生物标志物相互作用的概念。

图3 | 表现出定量治疗-生物标志物统计互动的预测生物标志物示例

假设患者已被随机分配到实验性和标准性疗法。在每个生物标志物亚组内(黑色曲线为生物标志物阳性,灰色曲线为生物标志物阴性),与标准疗法(虚线)相比,接受实验疗法(实线)的患者生存期大大延长。与标准治疗相比,生物标志物阳性者的生存期增加的幅度在数字上大于生物标志物阴性者。


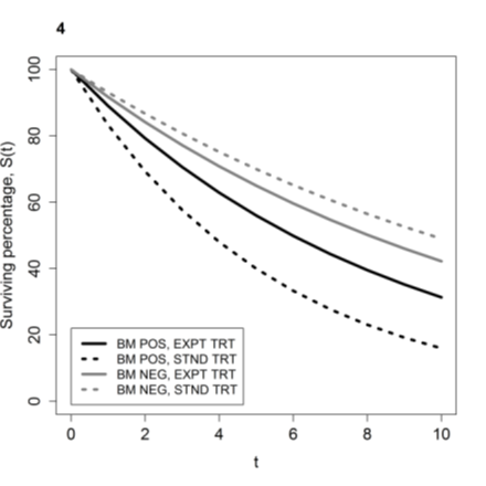
图4说明了一种理想的预测生物标志物,在一个生物标志物亚组中,实验性治疗有明显的益处(阳性),但在另一个生物标志物亚组中,实验性治疗明显缺乏益处,甚至可能有轻微的伤害(阴性)。这反映了统计学上的治疗与生物标志物相互作用的概念;这种生物标志物可能对治疗选择特别有用。

图4 | 表现出定性治疗-生物标志物统计互动的预测生物标志物示例

假设患者被随机分配到实验性和标准性疗法。对于生物标志物阳性的患者(黑色曲线),与标准疗法(黑色虚线)相比,接受实验疗法的患者(黑色实线)的生存期大大延长;而对于生物标志物阴性的患者(灰色曲线),与标准疗法(灰色虚线)相比,接受实验疗法的患者(灰色实线)的生存期大致相同或稍短。



声明:
1、凡本网注明“来源:小桔灯网”的所有作品,均为本网合法拥有版权或有权使用的作品,转载需联系授权。
2、凡本网注明“来源:XXX(非小桔灯网)”的作品,均转载自其它媒体,转载目的在于传递更多信息,并不代表本网赞同其观点和对其真实性负责。其版权归原作者所有,如有侵权请联系删除。
3、所有再转载者需自行获得原作者授权并注明来源。

最新评论

关闭

官方推荐 上一条 /3 下一条

客服中心 搜索 洽谈合作
返回顶部