立即注册找回密码

QQ登录

只需一步,快速开始

微信登录

微信扫一扫,快速登录

搜索
小桔灯网 门户 资讯中心 技术杂谈 查看内容

行业研究:核酸质谱

2021-12-8 23:17| 编辑: 小桔灯网| 查看: 11461| 评论: 0|来源: 探针资本

摘要: 目录《核酸质谱》目录一、核酸质谱技术简述 1.1核酸质谱技术原理 1.2核酸质谱技术发展历程 1.3 核酸质谱的优缺点二、核酸质谱临床应用前景及市场空间 2.1新生儿基因检测 2.2癌症早筛 2.3微生物核酸质谱 2.4 ...


目录



核酸质谱


目录

一、核酸质谱技术简述

    1.1 核酸质谱技术原理

    1.2 核酸质谱技术发展历程

    1.3 核酸质谱的优缺点

二、核酸质谱临床应用前景及市场空间

    2.1 新生儿基因检测

    2.2癌症早筛

    2.3微生物核酸质谱

    2.4 药物基因组学

三、相关公司及产品

     3.1Agena Bioscience

     3.2浙江迪谱诊断技术有限公司

     3.3江苏先声诊断有限公司

     3.4广州市达瑞生物技术股份有限公司

     3.5 北京毅新博创生物科技有限公司

     3.6 基准医疗

     3.7 腾辰生物

四、小结


一、 核酸质谱技术简述



1.1 核酸质谱技术原理

1.1.1 质谱技术

质谱技术(mass spectrometry, MS)为一种精密成分分析手段,将化学分子电离产生的气化离子通过电磁场进行加速,之后基于具有不同质量和电荷比例的离子在磁场中偏转的时间不同、在电场中加速的速率不同、在轨道阱的电场中振动的频率不同等原理,从而分离具有不同质量-电荷比(质荷比,m/z)的离子,当检测器检测到不同离子后,可记录该质荷比处的信号,最终形成以质荷比为横坐标、离子流强度为纵坐标的质谱图,最后通过与数据库进行对比分析,即可获得所分析样品的物质构成。质谱图中,横坐标质荷比即为气态离子的分子质量与其所带电荷量之比,从左至右由小到大排列,当所带电荷量为1时,质荷比即为其分子量;而纵坐标离子流强度代表了样品中具有某质荷比的离子绝对或相对的丰度。



图1. 质谱仪基本构成

资料来源:中国科学院宁波材料技术与工程研究所

质谱仪的核心构成部分(图1)主要包括进样系统、离子源、质量分析器与检测器(图1)。经过对样品的纯化分割等处理,进样系统向离子源提供尚未离子化的样品,而在离子源中,样品在真空条件下,通过各类电离方式形成气态离子,之后气态离子在质量分析器中通过电场、磁场、轨道阱等工具基于质荷比进行分离,最后气态离子击打检测器,获得对应记录。


1.1.1.1 离子源

生物大分子多为极性、非易失性和热不稳定的物质,需要电离技术才能将分析物转移到气相中而不会发生大量降解。目前,有多种离子化技术已趋于成熟,包括电子轰击离子化(electron bombardment ionization,EI)、化学电离(chemical ionization,CI)、场电离(field ionization,FI)、场解吸(field desorption,FD)、快原子轰击(fast atom bombardment,FAB)、大气压化学离子化(atmospheric pressure chemical ionization,APCI)、基质辅助激光解吸电离(matrix-assisted laser desorption ionization,MALDI)和电喷雾电离(electrosprayionization,ESI)。


其中EI、CI、FI、FD、FAB和APCI为硬电离方式,可给样品提供较大能量,样品分子在一定能量电子原子轰击、化学作用、强场等作用下发生电离,内能较大的离子在与中性分子(如He)碰撞时能够自发裂解产生更多的碎片离子。所有的离子被聚焦、加速聚焦成离子束进入质谱分析器。对于大部分有机物来说,硬电离方式不仅可以看到母离子,而且可以看到很多碎片离子,便于进行结构解析,但是当样品分子稳定性不高时,分子离子峰的强度弱,甚至没有分子离子峰,当样品不能气化或遇热分解时,更看不见分子离子峰。因此这些硬电离方式只适用于可挥发的,热稳定的,沸点一般不超过500℃,分子量一般小于1000的有机物。


而MALDI与ESI则为软电离,给样品能量较小,容易获得能指明相对分子质量的准分子离子,基本不产生碎片峰,因此适合做分子量确认。对于分子量大,稳定性差的化合物,也不会在电离过程中发生分解,适合于分析极性强的大分子有机化合物,如药物、肽、糖等。


在MALDI中,基质吸收激光能量并将其转移至分析物,而快速的激光加热会导至基质和分析物的[M+H]+解吸电离到气相中(图2)。基质多为有强即光吸收能力的有机酸,主要作用为增强样品对激光的吸收并在一定程度上降低激光对样品的破坏。MALDI电离需要数百次激光照射才能达到可接受的离子检测信噪比。MALDI产生的离子主要是单电荷。这使得MALDI适用于脉冲分析仪器对高分子量生物大分子的自顶向下分析。MALDI电离技术灵敏度极高,仅需pmol ~ fmol级别的微量样品即可进行检测,缺点是每次重复的重复性低,并且对样品制备方法的依赖性强。


图2. 基质辅助激光解吸电离(MALDI)基本原理

资料来源:BioTech-Study


与MALDI不同,ESI源从溶液中产生离子。电喷雾电离是由分离管线末端的发射器和分离管末端之间施加的高电压(2–6 kV)驱动的。包裹着样品的溶剂进入电喷雾探头,通过加着高压的毛细管,高电压使得液体表面带上电荷,溶剂被周围加热的氮气气化从而挥发,随着溶剂蒸发,溶剂表面的库伦排斥力越来越大,引起液滴爆炸,最后生成单个离子进入质量分析器(图3)。ESI技术的重要发展包括微米级和纳米级ESI,流速降低至每分钟纳升,用以提高方法的灵敏度,其中纳米级ESI能与毛细管反相(RP)色谱柱兼容,具有更高的灵敏度。


图3. 电喷雾电离(ESI)基本原理

资料来源:中国科学院宁波材料技术与工程研究所

ESI最大的特点就是可以生成多电荷离子,这样,一个分子量为10000Da的分子若带有10个电荷,则其质荷比只有1000Da,进入了一般质谱仪可以分析的范围之内。但是ESI源要求待测样品在溶液中必须能够形成离子,且流动相中缓冲盐的种类和浓度对灵敏度均有显著影响,因此流动相的选择非常重要。与此同时,ESI中的基质抑制现象也较为明显。


1.1.1.2 质量分析器

质量分析器为质谱仪的核心组成部分,其作用为将离子源产生的离子按m/z顺序分开并排列成谱。目前常见的质量分析器有磁式双聚焦分析器、四极杆分析器、离子阱分析器、飞行时间分析器等。


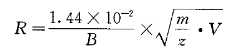
磁式双聚焦分析器(double focusing analyzer) 是在单聚焦分析器的基础上发展起来的。因此,首先简单介绍一下单聚焦分析器。单聚焦分析器(图4)的主体是处在磁场中的扁形真空腔体。离子进入分析器后,由于磁场的作用,其运动轨道发生偏转改作圆周运动。其运动轨道半径R可由下式表示:


m为离子质量,z为离子电荷量,V为离子加速电压, B为磁感应强度。


在一定的B、V条件下,不同m/z的离子其运动半径不同,这样,由离子源产生的离子,经过分析器后可实现质量分离,如果检测器位置不变(即R不变)、连续改变V或B可以使不同m/z的离子顺序进入检测器,实现质量扫描,得到样品的质谱。单聚焦分析结构简单,操作方便,但其分辨率很低,不能满足有机物分析要求,目前只用于同位素质谱仪和气体质谱仪。单聚集质谱仪分辨率低的主要原因在于它不能克服离子初始能量分散对分辨率造成的影响。在离子源产生的离子当中,质量相同的离子应该聚在一起,但由于离子初始能量不同,经过磁场后其偏转半径也不同,而是以能量大小顺序分开,即磁场也具有能量色散作用。这样就使得相邻两种质量的离子很难分离,从而降低了分辨率。


图4 单聚焦质量分析器

资料来源:《质量分析器新理论初探》


为了消除离子能量分散对分辨率的影响,通常在磁场前加一扇形电场,扇形电场是一个能量分析器,不起质量分离作用。质量相同而能量不同的离子经过静电电场后会彼此分开。即静电场有能量色散作用。如果设法使静电场的能量色散作用和磁场的能量色散作用大小相等方向相反,就可以消除能量分散对分辨率的影响。只要是质量相同的离子,经过电场和磁场后可以会聚在一起。另外质量的离子会聚在另一点。改变离子加速电压可以实现质量扫描。这种由电场和磁场共同实现质量分离的分析器,同时具有方向聚焦和能量聚焦作用,称作双聚焦质量分析器(图5)。双聚焦分析器的优点是分辨率高,缺点是扫描速度慢,操作、调整比较困难,而且仪器造价也比较昂贵。


图5 双聚焦质量分析器

资料来源:《质量分析器新理论初探》


四级杆分析器(quadrupole analyzer)也称四极质量分析器,它由四根截面呈双曲面的平行电极组成,围绕离子束呈对称排列,离子束穿过对准四根杆之间的准直小孔(图6),相对的一对电极是等电位的,两对电极之间的电位是相反的。加在四极上的直流电庄U和射频V0 coswt(其中V0为射频电压振幅,w为射频振荡频率,t为时间),在极间形成一个四极复合射频场,离子进入后,受到电场力的作用,可使离子围绕其传播中心轴振动,只有具有一定质荷比的离子才会通过稳定的振荡而进入离子收集器。改变U、V0,并使U/V0比值恒定,便可以实现质量扫描。四级杆分析器的主要优点是结构简单、体积小、质量轻、价格便宜、清洗方便、操作容易;只使用电场,便可实现快速扫描。四级杆分析器是目前应用最广泛的质量分析器,性能不断提高,质量测定范围已达到3000u,质量准确度可达到0.1u(900u时),其缺点是分辨率不够高。


图6 四极杆分析器示意图


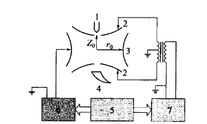
离子阱分析器(ion trap analyzer)与四极杆分析器类似,离子阱的主体是一个环电极和上下两端盖电极,环电极和上下两端盖电极都是绕Z轴旋转的双曲面(图7),并满足r20=2Z20(r0为环形电极的最小半径,Z0为两个端盖电极间的最短距离)。直流电压U和射频电压Vrf加在环电极和端盖电极之间,两端盖电极都处于低电位。离子在离子阱内的运动遵守所谓马蒂厄微分方程。在稳定区内的离子,轨道振幅保持一定大小,可以长时间留在阱内,不稳定区的离子振幅很快增长,撞击到电极而消失。对于一定质量的离子,在一定的U和Vrf下,可以处在稳定区。改变U或Vrf的值,离子可能处于非稳定区。如果在引出电极上加负电压,可以将离子从阱内引出,由电子倍增器检测。因此,离子阱的质量扫描方式与四极杆类似,是在恒定的U/Vrf下,扫描Vrf获取质谱。离子阱的特点是结构小巧、质量轻、灵敏度高,而且还可以实现多级串联质谱功能。


图7  离子阱分析器示意图

1-灯丝;2-端帽;3-环形电流;4-电子倍增器;5-计算机;

6-放大器和射频发生器(基本射频电压);7-放大器和射频发生器(附加射频电压)

资料来源:中国标准物质网


飞行时间分析器(time of flight analyzer, TOF analyzer)的主要部分为离子漂移管(图8)。离子在加速电压V作用下得到动能,则有:

1/2mv2=eV或v=(2eV/m)1/2

m为离子的质量,e为离子的电荷量,V为离子的加速电压。


离子以速度v进入自由空间(漂移区),假定离子在漂移区飞行的时间为T,漂移区长度为L,则:

T=L[m/(2eV)]1/2


由上式可以看出,离子在漂移管中飞行的时间与离子质量的平方根成正比。即,对于能量相同的离子,离子的质量越大,达到接收器所用的时间越长,质量越小,所用时间越短,根据这一原理,可以把不同质量的离子分开。适当增加漂移管的长度可以增加分辨率。


图8 飞行时间(TOF)质量分析器基本原理

资料来源:中国标准物质网


飞行时间质量分析器的特点是质量范围宽、扫描速度快、既不需电场也不需磁场。但是,长时间以来一直存在分辨率低这一缺点,造成分辨率低的主要原因在于离子进入漂移管前的时间分散、空间分散和能量分散。这样,即使是质量相同的离子,由于产生时间的先后、产生空间的前后和初始动能的大小不同,到达检测器的时间就不相同,因而降低了分辨率。目前,通过采取激光脉冲电离方式、离子延迟引出技术和离子反射技术,可以在很大程度上克服上述三个原因造成的分辨率下降(图9)。现在,飞行时间质谱仪的分辨率可达20000以上,最高可检质量超过300kDa,并且具有很高的灵敏度。目前,这种分析器已广泛应用于气相色谱-质谱联用仪、液相色谱-质谱联用仪和基质辅助激光解吸飞行时间质谱仪中。


图9 高分辨飞行时间质谱原理图

资料来源:中国标准物质网


1.1.1.3 检测器

质谱仪的检测器主要使用电子倍增器,也有的使用光电倍增管。


电子倍增器原理为:由质量分析器出来的离子打到高能打拿极产生电子,电子经电子倍增器产生电信号,记录不同离子的信号即得质谱。信号增益与倍增器电压有关,提高倍增器电压可以提高灵敏度,但同时会降低倍增器的寿命,因此,应该在保证仪器灵敏度的情况下采用尽量低的倍增器电压。由倍增器出来的电信号被送入计算机储存,这些信号经计算机处理后可以得到色谱图、质谱图及其它各种信息。


1.1.1.4 真空系统

为了保证离子源中灯丝的正常工作,保证离子在离子源和分析器中正常运行,消减不必要的离子碰撞、散射效应、复合反应和离子一分子反应,减小本底与记忆效应,因此,质谱仪的离子源和分析器都必须处在优于1 mPa的真空中才能工作。也就是说,质谱仪都必须有真空系统。一般真空系统由机械真空泵和扩散泵或涡轮分子泵组成。机械真空泵能达到的极限真空度为100mPa,不能满足要求,必须依靠高真空泵。


扩散泵是常用的高真空泵,其性能稳定可靠,缺点是启动慢,从停机状态到仪器能正常工作所需时间长;涡轮分子泵则相反,仪器启动快,但使用寿命不如扩散泵。由于涡轮分子泵使用方便,没有油的扩散污染问题,因此,近年来生产的质谱仪大多使用涡轮分子泵。涡轮分子泵直接与离子源或分析器相连,抽出的气体再由机械真空泵排到体系之外。


1.1.2 核酸质谱技术的基本流程

由于核酸为极性、非易失性和热不稳定的生物大分子,且基于通量要求和样品制备的难度,目前核酸质谱主要使用的质谱技术为MALDI-TOF MS。


在开始核酸质谱检测前,需要先行对样品进行制备。少量样品通常通过人工制备,而大量样品制备则需要纳升分配系统(nanoliter dispensing systems)。核酸质谱检测所选用的MALDI基质通常为羟基吡啶甲酸(HPA),相较传统的液滴干燥技术,HPA等水溶性基质的样品制备需要分为两步。首先在质谱仪样品盘上放置一滴溶于水的基质溶液,待其在室温下结晶后,再在基质晶体上滴加待分析样品的水溶液。在这一制备过程中,基质晶体被部分再溶解并与样品分子再结晶,使检测结果相较传统制备技术更具可重复性。


当使用6-氮杂-2-硫代胸腺嘧啶(ATT)等溶于有机溶剂的基质时,需要使用另一种被成为薄层基质制备的技术。将ATT等溶于有机溶剂的基质再样品盘上形成一层均质化的薄膜,之后再加入含有待分析样品的饱和ATT溶液,形成第二层薄膜。薄层基质制备技术可以获得高度可重复的质谱监测结果。


对于高通量的MALDI核酸质谱,需要产生微型化的样品点以提高晶体分布的均一化。这一过程中,MALDI样品盘(通常为金属或硅芯片)的表面通常包裹高度疏水的材料,只在确定位置预留微型样品置放点(如200 μm × 200 μm大小)阵列,这些置放点通常具有亲水性,或相较周围更不疏水。之后使用纳升分配系统将基质水溶液转移至样品盘,起初基质水溶液液滴通常比样品置放点面积要大,但随着溶剂蒸发,液滴为所,最终结晶而成的基质晶体均小于样品置放点,晶体大小和通过控制基质溶液浓度控制,使其刚好覆盖样品置放点。之后使用pintool装置将待分析样品水溶液平行滴加至基质晶体上,经过再溶解与再结晶,即可获取高通量的MALDI质谱样品。


样品制备中的另一重要因素为在和基质混合之前,核酸样品需要去盐,因为钠离子和钾离子与带负电的磷酸骨架很容易形成副产物,导至质谱结果质量大大降低。高浓度的盐也会阻碍基质分子的成功结晶。由于钠离子与钾离子在试剂中的普遍存在,在MALDI-MS之前样品去盐时非常有必要的,可以通过色谱法、固态提取、或添加阳离子交换树脂等方法完成。


样品与基质混合结晶后,在激光的照射下基质迅速蒸发,基质和样品分子间的作用力快速削弱,从而释放样品分子。同时,基质可将吸收的激光能量转移给样品分子并促进其电离。电离后的气态样品离子进入TOF质量分析器,在脉冲电场作用下根据其质荷比获得不同的加速度,从而在真空管内以不同的恒定速度飞向检测器。理论上TOF适用的样品相对分子质量为0至无限大,而实际基因检测操作中其检测范围多为1000~10000之间。


1.1.3 核酸质谱的主要流程与应用

1.1.3.1 引物延伸检测

寡核苷酸多态性(SNP)指在基因组水平上由单个核苷酸的变异所引起的DNA序列多态性。它是人类可遗传的变异中最常见的一种,占所有已知多态性的90%以上。SNP在人类基因组中广泛存在,平均每300个碱基对中就有1个,估计其总数可达300万个甚至更多。SNP是一种二态的标记,由单个碱基的转换或颠换所引起,也可由碱基的插入或缺失所致。SNP既可能在基因序列内,也可能在基因以外的非编码序列上。


使用核酸质谱对于已知的SNP位点进行分型时,检测通常分为三步:

1) 对含有目的SNP位点的区域进行PCR扩增;

2) 使用磷酸酶处理以灭活剩余的dNTP;

3) 使用3’端毗邻目的SNP位点的分型引物进行延伸。


由于四种碱基的分子量不同,这一引物延伸的产物根据其在SNP位点的多样性可以产生质量有微小差别的产物,而其质量上的细微差别可以通过MALDI-MS进行检测,从而获得样品的SNP多样性基因型分型。


图10 利用MALDI-MS进行SNP分型(左:引物延伸检测;右:定点检测)

资料来源:MALDI Mass Spectrometry for Nucleic Acid Analysis


根据所添加核苷酸底物的不同,这一检测可以分为引物延伸检测(primer extension assay)与定点检测(pinpoint assay)两种(图10)。在引物延伸检测中,通常添加三种ddNTP与一种dNTP,而在定点检测中添加的四种核苷酸底物均为dNTP。由于DNA聚合酶只能使用dNTP作为底物,因此在定点检测中的产物只有引物加上3’端延伸的一个ddNTP,最终质谱结果得到的两个离子丰度峰之间的分离度取决于该SNP位点的两种碱基相对质量之差;而在引物延长检测中,若引物在SNP位点可整合dNTP,则会在3‘端额外延长一个ddNTP或多个dNTP与一个ddNTP,此时最终质谱结果得到的两个离子丰度峰之间的分离度相较定点检测更高,更易于利用MALDI-MS进行分辨,尤其在辨别dATP与dTTP时,由于二者之间的质量差异仅有9Da,引物延伸检测也更为适用。


在大范围的SNP分析中,出于成本考虑,DNA样品通常为多个样品混合,最终需要计算包含特定SNP的等为基因在该等位基因总数中的频率,并进行全基因组相关性分析(GWAS),以计算该SNP同某种疾病的相关性,以此发现与该疾病相关的基因。GWAS通常检测特定群体中不同个体的所有基因,而通过比较该群体中患者与健康人群的等位基因频率可以得到和疾病相关的SNP及基因。通过GWAS分析,大量位于非编码区的SNP被发现同各类疾病相关。

声明:
1、凡本网注明“来源:小桔灯网”的所有作品,均为本网合法拥有版权或有权使用的作品,转载需联系授权。
2、凡本网注明“来源:XXX(非小桔灯网)”的作品,均转载自其它媒体,转载目的在于传递更多信息,并不代表本网赞同其观点和对其真实性负责。其版权归原作者所有,如有侵权请联系删除。
3、所有再转载者需自行获得原作者授权并注明来源。

最新评论

关闭

官方推荐 上一条 /3 下一条

客服中心 搜索 洽谈合作