立即注册找回密码

QQ登录

只需一步,快速开始

微信登录

微信扫一扫,快速登录

搜索
小桔灯网 门户 资讯中心 技术杂谈 查看内容

想提高PCR特异性吗?用对酶很重要!

2021-7-7 14:55| 编辑: 沙糖桔| 查看: 3403| 评论: 0|来源: CACLP体外诊断资讯

摘要: 在1983年,美国人Mullis发明了聚合酶链反应技术(polymerase chain reaction, PCR),从此开启了现代分子生物学的大门。1988年,Saiki等人将一种从Thermus aquaticm分离出的耐热型DNA 聚合酶,即Taq DNA聚合酶,成功 ...














































































在1983年,美国人Mullis发明了聚合酶链反应技术(polymerase chain reaction, PCR),从此开启了现代分子生物学的大门。1988年,Saiki等人将一种从Thermus aquaticm分离出的耐热型DNA 聚合酶,即Taq DNA聚合酶,成功完成了DNA的自动扩增,使PCR变成一种便利的、普遍的实用分子生物学技术。


随着常规PCR技术在分子生物学各个领域的广泛应用,非特异性扩增等现象也经常出现,造成实验结果的不准确性。


非特异性扩增的产生和影响


普通的Taq DNA 聚合酶的最适温度是72℃,此时酶的活性最佳,低于此温度,酶有较弱活性。在PCR扩增的升温过程中,酶发挥较弱的活性,体系极易错配或形成引物二聚体,尤其是当设计的引物3’端是G 或C,错配的链很难重新解开。非特异性扩增正是由于DNA聚合酶低温下具有活性而引起的错误引导靶标延伸和引物二聚体形成的。


非特异性扩增的具体影响包括:

  • 目标扩增子产量低;

  • 目标扩增子的灵敏度下降;

  • 下游应用效果不佳。


因此,要提高PCR 扩增的特异性和降低反应错配率,可以人为的控制酶的活性,在72℃之前让酶不发挥活性,这样就避免了在升温(或配置反应体系)过程中发生链的错配,从而保证扩增的特异性。


而目前最常用的提高PCR特异性的方法是使用热启动型Taq DNA聚合酶进行扩增,即热启动PCR。


热启动PCR  


热启动PCR,主要利用酶的修饰物在常温下抑制DNA聚合酶的活性,加热到变性温度时修饰物失活,酶活得以释放,从而使PCR反应正常进行。


热启动PCR的优势:

  • 阻止引物与低同源性的模板序列结合;

  • 在PCR反应开始之前,防止引物与引物之间形成引物二聚体;

  • 提高目的片段的扩增灵敏度和产量;

  • 可在室温下配制反应体系和设置反应程序,使操作更为便利,且不会影响扩增性能和特异性。


热启动 Taq DNA聚合酶的修饰方法


热启动Taq DNA 聚合酶常用的修饰方法有化学修饰法、抗体法和配体修饰法等。其中化学修饰法和抗体法最为常用。虽然它们都能抑制室温下的聚合酶活性,但两者之间存在一些差异。


化学修饰法


化学修饰法热启动Taq DNA聚合酶:一般采用化学小分子,如酸酐,与聚合酶上的氨基酸基团(赖氨酸)结合,使酶低温时失去酶活。加热至特定温度和时间后,化学小分子与氨基酸之间的化学键断裂,酶活释放,从而达到热启动效果。化学修饰可有效封闭酶的活性,操作简单,酶活性释放速度较慢,酶活性维持更加稳定且无任何外源DNA污染,性价比更高。


但是,酶激活时间较长可能会影响酶的活性,导至PCR产物的产量降低。


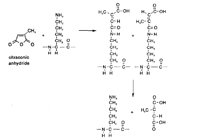
柠康酸酐与酶结合的原理

一般认为Taq DNA聚合酶上赖氨酸基团有42个左右,但是由于空间结构限制,其中一部分赖氨酸基团在基团内部,无法与化学修饰基团相结合。


抗体法


抗体法热启动Taq DNA聚合酶:一般使用Taq DNA聚合酶抗体,在PCR反应高温加热前,抗体与DNA聚合酶结合,封闭酶活性。在加热至变性温度时抗体变性,解除封闭从而释放酶活性。此外,抗体型热启动酶由于酶活释放速度快,可大大降低PCR反应时间,且具有更高的灵敏度和扩增效率。


但其缺点是抗原抗体结合是一种动态平衡,试剂配比优化时间长。


抗体与DNA聚合酶特异性结合封闭原理示意图


两种热启动修饰方法的比较



优质的热启动 Taq DNA聚合酶


热启动PCR目前的应用已是非常广泛,在较难扩增的PCR反应如基因组DNA、单拷贝序列的扩增、多重PCR和超长片段的扩增中的应用尤为突出。


优质的热启动Taq DNA聚合酶,能有效降低或消除非特异性产物以及引物二聚体的形成,提高引物与模板结合的效率。进一步提高目的基因的扩增产物量,使PCR反应更趋于完美。

GenStar相关产品




HotStart Taq DNA Polymerase
(Cat#A131)

  • 灵敏快速:抗体修饰热启动酶,扩增灵敏度更高,反应速度快;

  • 性能优异:扩增效率高,重复性好,跨度均一;

  • 兼容性强:适用于各种PCR或qPCR反应体系。


HotStart Power Taq DNA Polymerase
(Cat#A135)

  • 特异性强:化学修饰热启动酶,酶活封闭更完全,有效抑制非特异性扩增;

  • 性能稳定:95℃加热10 min,彻底释放酶活性;

  • 适合复杂模板:适用于从复杂模板中扩增低拷贝基因。


产品列表




主要参考资料:

Saiki RK,Scbarf S,Faloona F,el a1.Enzymatic amplification of beta-globin genomic sequences and restriction site anaylisis for diagnosis of sickle cell anemia[J].Science,1985,230(4732):1350-1354.

W ang Y,Prosen DE,Mei L,et al A novel strategy to engineer DNA polymerases for enhanced processivlty and improved performance in vitro[J] Xucleic Acids Research,2004;32(3):1197-1207.

Hiroshi M, et al. Characterization and Application to Hot Start PCR of Neutralizing Monoclonal Antibodies against KOD DNA Polymerase. [J].Synthetic Chemistry and Biological Chemistry.1999, 126(4):762.

周晓薇,朱雪蛟,田玲,等.耐热Taq DNA聚合酶的酸酐修饰及其在降低PCR非特异性扩增中的应用评价[J].浙江农业学报,2011,23(3):500—505.


声明:
1、凡本网注明“来源:小桔灯网”的所有作品,均为本网合法拥有版权或有权使用的作品,转载需联系授权。
2、凡本网注明“来源:XXX(非小桔灯网)”的作品,均转载自其它媒体,转载目的在于传递更多信息,并不代表本网赞同其观点和对其真实性负责。其版权归原作者所有,如有侵权请联系删除。
3、所有再转载者需自行获得原作者授权并注明来源。

最新评论

关闭

官方推荐 上一条 /3 下一条

客服中心 搜索 洽谈合作
返回顶部