立即注册找回密码

QQ登录

只需一步,快速开始

微信登录

微信扫一扫,快速登录

搜索

刘博谈临床:临床统计方法之七——医学决定水平处预期偏倚分析

2021-7-1 17:39| 编辑: 沙糖桔| 查看: 5996| 评论: 0|来源: 开发与验证

摘要: 刘博这是刘博谈临床第二十二篇,本篇主要对医学决定水平处预期偏倚分析如何实行进行阐述。对于任何给定的x值,y的估计值(^y)按如下公式计算:在y轴方向上试剂的测定值与估计值(^y)数据点和回归线之差称为此点的 ...

刘博

这是刘博谈临床第二十二篇,本篇主要对医学决定水平处预期偏倚分析如何实行进行阐述。



对于任何给定的x值,y的估计值(^y)按如下公式计算:


在y轴方向上试剂的测定值与估计值(^y)数据点和回归线之差称为此点的残差(Re),对于任何一点Xi,Yi)的残差计算公式为

对于单个y来说,估计值的标准误(Sy·x)计算公式为

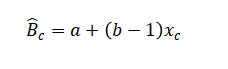
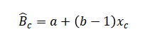
在给定的医学决定水平或者参考值(Xc)处的预期偏倚(^Bc)的估计值,按以下公式计算:

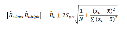
95%置信区间(在Xc处的真正偏倚)按以下公式计算:


一般将医学决定水平处的预期偏倚及其95%置信区间与申请人声称的可接受偏倚的限值进行比较。可接受偏倚的限值或者由申请人咨询临床机构后根据临床需求设定,或者参考相关的国内外标准等设定。


可以参照《美国临床实验室改进修正法案88)(CLIA’88),卫生部临床检验中心室间质量评价标准、来源于生物变异的总允许误差、卫生行业标准等相关要求设定允许误差等。


如达到相关标准判定两检测系统等效,如未达到该标准,两检测系统不等效,需进一步临床验证。


如果预期偏倚的95%置信区间未超出申请人声称的可接受偏倚的限值,说明试验用体外诊断试剂与参比试剂的检测结果没有显著的偏倚,两者等效。



声明:
1、凡本网注明“来源:小桔灯网”的所有作品,均为本网合法拥有版权或有权使用的作品,转载需联系授权。
2、凡本网注明“来源:XXX(非小桔灯网)”的作品,均转载自其它媒体,转载目的在于传递更多信息,并不代表本网赞同其观点和对其真实性负责。其版权归原作者所有,如有侵权请联系删除。
3、所有再转载者需自行获得原作者授权并注明来源。

最新评论

关闭

官方推荐 上一条 /3 下一条

客服中心 搜索 洽谈合作
返回顶部