WGS与WES,哪一个更优?
2021-1-3 19:08|
编辑: 小桔灯网|
查看: 18298|
评论: 0|来源: 基因检测与解读
摘要: 对于如何将下一代测序技术(Next-Generation Sequencing,NGS)以最佳的方式应用于孟德尔遗传病的诊断一直以来都存在着大量的讨论。基因panels相对来说比较受青睐是由于这种方式它的测序成本低、报告周期短、有较低的 ...
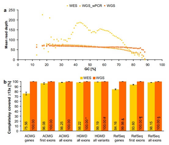
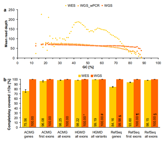
 对于如何将下一代测序技术(Next-Generation Sequencing,NGS)以最佳的方式应用于孟德尔遗传病的诊断一直以来都存在着大量的讨论。基因panels相对来说比较受青睐是由于这种方式它的测序成本低、报告周期短、有较低的非特异性以及更少的额外发现,并且,panels只漏检了全外显子测出的约10%的突变。实际上,与病人表型相关联的基因panels检测可以被视作一种廉价的、快速的检测方式。如果panels的检测结果是阴性的,然后再考虑WGS或者WES来进行一个更为全面的二次检测。 对于WGS来说,全基因组范围内的检测覆盖率让拷贝数变异(Copy Number Variations,CNV)的检出更为可信,这对提高疾病的检出率起到了实际性的作用。WGS的价格正在逐步下跌,包含数据分析在内的发放报告周期也可以缩短至几天。实际上,在进行panels检测时,数据分析可以在电脑上操作过滤以避免一些偶然结果的发现,并且这种检测手段的临床检出率高达73 %,比传统的表型导向的单基因分析检出率高出了一个数量级。我们最近发现,即使在现阶段,WES还是不能完全有效地覆盖所有的外显子,因此即使这种非捕获方式的WGS对于高GC区的敏感度不是那么高,但是它相对于WES还是能够更大范围地覆盖基因组的外显子区域。在这篇文章里,我们以一种全新的视野去认识这种无扩增的、并且提供了迄今为止最全面的基因组外显子覆盖度的WGS技术。并且,我们认为WGS应该作为更优于WES的一种更全面的二次检测手段。我们用5名女性的DNA样本对优化的WES与WGS来做一个比较。WES让供应商V2用HiSeq 2000 平台以100×的测序深度测序,WGS让供应商V4用HiSeq X Ten系统以60×的深度测序。为了最大程度地降低系统误差,我们将比较范围限制在Ref-Seq编码序列区域。我们当前的数据表明这种新型的无扩增WGS(PCR-free WGS)对高GC区域的敏感度比较低,这样就会导至这种技术相对于WES以及有扩增的WGS有一个更为均一的覆盖度(图a)。 尽管平均测序深度低了将近一倍,无扩增WGS所检测出来的RefSeq编码外显子数量还是远远大于WES。而对于ACMG推荐报告的突变基因,无扩增WGS把5个样本中所有的位点都报了出来,而WES只报了98.25%的ACMG外显子,导至的结果是WES对ACMG基因的报告率只有75.56%。另外一个值得注意的针对这两种技术的临床相关的不同之处存在于外显子的覆盖范围上,比如HGMD数据库报道过的致病性的突变(包括单核苷酸变异、小片段的插入和缺失等),无扩增WGS能够100%地检出这些突变,而WES只能检出98.22%。因此,也就是说WES不能检出目前已明确的外显子致病性突变的概率为0.42%,而无扩增WGS都可以检测出来。考虑到非编码区也会存在致病性的突变,因此,WES漏掉的总致病性变异占0.81%,而这些变异都是目前存在于HGMD数据库中并且可以被WGS检测出的(图b)。 另外,全基因组范围内的检测使得WGS相较于WES来说更适合用来进行针对CNV的检测。在我们的样本中,WES个体外显子覆盖度的变异系数比无扩增WGS高出大约4倍。并且,这种无间隙测序的WGS也能检测结构变异(SVs)。因此,我们认为WGS是极有可能取代微阵列来检测CNVs,但是WES却不能。WGS拥有高通量的测序容量,目前也已具备相应的硬件和软件设施来储备和解读庞大的WGS数据,因此可以在全世界各个实验室应用。从另一角度来说,测序成本的逐步降低也会让这种技术的价格变得越来越亲民。对于目前未解决的医学问题,WGS就只需要把之前测序的数据进行重分析,而不需要像WES那样,可能就需要对个体进行重新测序。另外,也有人会认为WGS会检测出更多与病人目前的疾病不相关的一些突变以及检测出一些临床意义不明的变异,这些都可以通过将WGS的分析数据量减少以控制在特定的感兴趣的基因panels上来避免这些额外的发现。因此,不仅我们,还有其他很多同行都认为,在检测外显子突变上,WGS相对于WES更有优势,并且在将来,应用NGS进行孟德尔遗传病的诊断不需要再涉及捕获测序这种方式。总之,这种新型的无扩增WGS是目前为止可以最广泛地覆盖外显子以及临床相关的基因测序区域的一种技术。WGS的优势不仅仅体现在可以检测出非编码的致病性变异,还体现在它具有更为广泛的外显子覆盖度,所以它是优于WES的一种技术。王小艳,湖北省妇幼保健院检验科遗传室,13年硕士研究生毕业于中南大学医学遗传学国家重点实验室 |
声明:
1、凡本网注明“来源:小桔灯网”的所有作品,均为本网合法拥有版权或有权使用的作品,转载需联系授权。
2、凡本网注明“来源:XXX(非小桔灯网)”的作品,均转载自其它媒体,转载目的在于传递更多信息,并不代表本网赞同其观点和对其真实性负责。其版权归原作者所有,如有侵权请联系删除。
3、所有再转载者需自行获得原作者授权并注明来源。