立即注册找回密码

QQ登录

只需一步,快速开始

微信登录

微信扫一扫,快速登录

搜索
小桔灯网 门户 资讯中心 感染诊疗 查看内容

2018年全国细菌耐药监测报告

2019-11-21 12:37| 编辑: 小桔灯网| 查看: 6730| 评论: 0|来源: 全国细菌耐药监测网

摘要: 2018年全国细菌耐药监测网成员单位共有1429所医院,其中上报数据医院共1425所。上报数据的成员单位中二级医院381所,三级医院1044所;经过数据审核,纳入数据分析的医院共有1353所,其中二级医院349所,占25.8%,三 ...
2018年全国细菌耐药监测网成员单位共有1429所医院,其中上报数据医院共1425所。上报数据的成员单位中二级医院381所,三级医院1044所;经过数据审核,纳入数据分析的医院共有1353所,其中二级医院349所,占25.8%,三级医院1004所,占74.2%。

本报告来自2017年10月至2018年9月的监测数据,以保留同一患者相同细菌第一株的原则剔除重复菌株后,2018年纳入分析的细菌总数为3234372株,其中革兰阳性菌占29.4%(952023/3234372),革兰阴性菌占70.6%(2282349/3234372)。

革兰阳性菌分离率排名前五位的是:金黄色葡萄球菌309801株(占革兰阳性菌32.5%)、肺炎链球菌101534株(占革兰阳性菌10.7%)、表皮葡萄球菌99630株(占革兰阳性菌10.5%)、屎肠球菌91788株(占革兰阳性菌9.6%)和粪肠球菌90196株(占革兰阳性菌9.5%)。

革兰阴性菌分离率排名前五位的是:大肠埃希菌660261株(占革兰阴性菌28.9%)、肺炎克雷伯菌465322株(占革兰阴性菌20.4%)、铜绿假单胞菌283222株(占革兰阴性菌12.4%)、鲍曼不动杆菌227091株(占革兰阴性菌9.9%)和阴沟肠杆菌90329株(占革兰阴性菌4.0%

菌株主要来源于痰标本(1340920株,占41.5%)、尿标本(608667株,占18.8%)和血标本(296052株,占9.2%)。

抗菌药物敏感性判断采用CLSI2017标准,按全国及各省、自治区及直辖市进行分析,结果如下:

   一、甲氧西林耐药金黄色葡萄球菌检出率

甲氧西林耐药金黄色葡萄球菌(MRSA)全国平均检出率为30.9%,较2017年下降1.3个百分点;MRSA检出率地区间有一定的差别,其中上海市最高,为46.8%,山西省最低,为15.5%(图1)。

图1 不同地区甲氧西林耐药金黄色葡萄球菌分离情况

二、甲氧西林耐药凝固酶阴性葡萄球菌检出率

     甲氧西林耐药凝固酶阴性葡萄球菌(MRCNS) 全国平均检出率为75.7%,较2017年下降了0.3个百分点;MRCNS检出率地区间有一定差别,其中安徽省最高,为80.6%,宁夏回族自治区最低,为57.8%(图2),西藏自治区合格菌株数不足30株,未统计,总体耐药率仍然处于较高水平。

图2 不同地区甲氧西林耐药凝固酶阴性葡萄球菌分离情况     

三、粪肠球菌对万古霉素耐药率

      粪肠球菌对万古霉素耐药率全国平均为0.3%,较2017年下降了0.1个百分点,地区间略有差别,其中北京市最高,为1.0%,西藏自治区及青海省最低,为0(图3),总体耐药率仍然维持较低水平。

图3 不同地区粪肠球菌对万古霉素的耐药率

四、屎肠球菌对万古霉素耐药率

屎肠球菌对万古霉素耐药率全国平均为1.4%,与2017年持平,地区间差别较大,其中北京市最高,为7.8%,较2017年的6.8%上升了1.0%,西藏自治区最低,为0(图4)。

图4 不同地区屎肠球菌对万古霉素的耐药率

五、肺炎链球菌对青霉素耐药率

按非脑膜炎(静脉)折点统计,青霉素耐药肺炎链球菌(PRSP)全国检出率平均为1.8%,较2017年下降了0.9个百分点,地区间差别较大,其中上海市及天津市最高,均为7.1%,青海省最低,为0(图5)。

 图5 不同地区青霉素耐药肺炎链球菌的检出率

六、肺炎链球菌对红霉素耐药率

肺炎链球菌对红霉素耐药率处于较高水平,全国平均为95.4%,较2017年上升了0.4个百分点;地区间略有差别,其中江苏省最高,为98.0%,西藏自治区最低,为67.4%(图6)。

图6 不同地区肺炎链球菌对红霉素耐药率

七、大肠埃希菌对第三代头孢菌素耐药率

   在本报告中,大肠埃希菌对第三代头孢菌素耐药是指对头孢曲松或头孢噻肟任一药物耐药。大肠埃希菌对第三代头孢菌素的耐药率全国平均为53%,较2017年下降了1.2个百分点,但仍然处于相对较高的水平,地区间略有差别,其中河南省最高,为62.8%,天津市最低,为44.9%(图7)。

图7 不同地区大肠埃希菌对第三代头孢菌素的耐药率  

八、大肠埃希菌对碳青霉烯类药物耐药率

在本报告中,大肠埃希菌对碳青霉烯类药物耐药是指对亚胺培南、美罗培南或厄他培南任一药物耐药。大肠埃希菌对碳青霉烯类药物的耐药率全国平均为1.5%,与2017年相同,地区间有一定差别,其中河南省最高,为2.9%,青海省最低,为0.2%(图8),总体耐药率仍然处于较低水平。

图8 不同地区大肠埃希菌对碳青霉烯类药物的耐药率

    九、大肠埃希菌对喹诺酮类药物耐药率

   在本报告中,大肠埃希菌对喹诺酮类药物耐药是指对左氧氟沙星或环丙沙星任一药物耐药。大肠埃希菌对喹诺酮类药物的耐药率全国平均为50.8%,较2017年下降0.2个百分点,地区间略有差别,其中辽宁省最高,为66.1%,重庆市最低,为42.9%(图9),总体耐药率仍然维持相对较高水平。

图9 不同地区大肠埃希菌对喹诺酮类药物的耐药率

十、肺炎克雷伯菌对第三代头孢菌素耐药率

   在本报告中,肺炎克雷伯菌对第三代头孢菌素耐药是指对头孢曲松或头孢噻肟任一药物耐药。肺炎克雷伯菌对第三代头孢菌素的耐药率全国平均为32.4%,较2017年下降了0.6个百分点,地区间差别较大,其中河南省耐药率最高,为55.8%,青海省最低,为12.3%(图10)。

图10 不同地区肺炎克雷伯菌对第三代头孢菌素的耐药率

十一、肺炎克雷伯菌对碳青霉烯类药物耐药率

在本报告中,肺炎克雷伯菌对碳青霉烯类药物耐药是指对亚胺培南、美罗培南或厄他培南任一药物耐药。肺炎克雷伯菌对碳青霉烯类药物的耐药率全国平均为10.1%,较2017年上升了1.1个百分点;地区间差别显著,其中河南省最高,为32.5%,较2017年上升了6.6%,青海省最低,为0.7%(图11),总体耐药率仍然呈缓慢上升趋势。

图11 不同地区肺炎克雷伯菌对碳青霉烯类药物的耐药率

十二、铜绿假单胞菌对碳青霉烯类药物耐药率

在本报告中,铜绿假单胞菌对碳青霉烯类药物耐药是指对亚胺培南或美罗培南任一药物耐药。铜绿假单胞菌对碳青霉烯类药物的耐药率全国平均为19.3%,较2017年下降了1.4个百分点,地区间有一定差别,其中上海市最高,为30.2%,宁夏回族自治区最低,为8.7%(图12)。

图12 不同地区铜绿假单胞菌对碳青霉烯类药物的耐药率

十三、鲍曼不动杆菌对碳青霉烯类药物耐药率

在本报告中,鲍曼不动杆菌对碳青霉烯类药物耐药是指对亚胺培南或美罗培南任一药物耐药。鲍曼不动杆菌对碳青霉烯类药物的耐药率全国平均为56.1%,与2017年持平,地区间有一定的差别,其中河南省最高,为80.1%,青海省最低,为19.9%(图13)。

   图13 不同地区鲍曼不动杆菌对碳青霉烯类药物的耐药率

十四.临床常见耐药细菌的比较分析

2018年,对不同等级医院、不同病区、不同年龄段人群及不同标本来源的临床常见耐药细菌进行了分层分析,观察了耐甲氧西林的金黄色葡萄球菌(MRSA)、耐甲氧西林的凝固酶阴性葡萄球菌(MRCNS)、青霉素耐药的肺炎链球菌(PRSP)、红霉素耐药的肺炎链球菌(ERSP)、万古霉素耐药的粪肠球菌(VREA)及万古霉素耐药的屎肠球菌(VREM)、头孢噻肟或头孢曲松耐药的大肠埃希菌(CTX/CRO-R ECO)、碳青霉烯类耐药的大肠埃希菌(CR-ECO)、喹诺酮类耐药的大肠埃希菌(QNR-ECO)、头孢噻肟或头孢曲松耐药的肺炎克雷伯菌(CTX/CRO-R KPN)、碳青霉烯类耐药的肺炎克雷伯菌(CR-KPN)、碳青霉烯类耐药铜绿假单胞菌(CR-PAE)、碳青霉烯类耐药鲍曼不动杆菌(CR-ABA)的检出率,并进行了对比分析,结果如下:
1、不同等级医院的耐药菌检出率分析
全国三级医院除VREA、VREM及PRSP的检出率低于全国二级医院外,其余常见耐药细菌的检出率均高于全国二级医院。全国儿童医院(含妇幼保健院)CTX/CRO-R-KPN、CR-ECO、CR-KPN 、MRSA、MRCNS、ERSP的检出率高于三级医院及二级医院,其余均低于三级医院。值得关注的是儿童医院(含妇幼保健院)的CTX/CRO-R-KPN的检出率为50.5%,远高于三级医院的33.7%和二级医院的 22.8%;儿童医院(含妇幼保健院)的CR-KPN为13.8%,也高于三级医院的10.8%和二级医院的4.5%。(图14)

图14.不同等级医院常见耐药细菌的检出率

注:数据标签为三级医院来源的耐药菌检出率
2、不同病区耐药菌检出率分析
全国重症监护病区除了ERSP及VREM的检出率略低于其他病区,其他常见耐药菌的检出率均为最高,其中对第三代头孢菌素耐药的大肠埃希菌和肺炎克雷伯菌、 MRSA、碳青霉烯类耐药的大肠埃希菌、肺炎克雷伯菌、铜绿假单胞菌及鲍曼不动杆菌检出率远高于其他病区,因此对重症监护病区抗菌药物的合理应用进行严格的管理和培训势在必行。(图15)

图15.不同病区常见耐药菌的检出率

注:数据标签为重症监护病区来源的耐药菌检出率
3、不同年龄段人群常见耐药菌的检出率分析
全国新生儿(≤28天)CR-ECO、CR-KPN、CTX/CRO-R-KPN及PRSP的检出率高于其他年龄组人群,全国老年人群(>65岁)CR-PAE、CTX/CRO-R-ECO、MRCNS、MRSA、QNR-ECO、VREA及VREM的检出率高于其他年龄组人群,成人CR-ABA的检出率最高。儿童(29天-14岁)CTX/CRO-R-KPN的检出率高于成人及老年人人群,但低于新生儿人群(图18),这与儿童及新生儿患者可选择的抗菌药物种类有限、头孢菌素、碳青霉烯类及大环内脂类抗菌药物在儿童中广泛应用相关。2018年度监测数据表明新生儿CTX/CRO-R-KPNCR-ECO及CR-KPN的检出率均最高,儿童CTX/CRO-R-KPN的检出率也高于成人及老年人群,需引起我们的高度重视,应加快儿童用药品种、剂型和规格的研发,减少儿童患者过分集中使用头孢菌素,加强儿科医生抗菌药物合理应用培训,落实医院感染防控措施,减少碳青霉烯类抗菌药物的过度使用。

图16.不同年龄段人群常见耐药菌的检出率

注:数据标签为新生儿年龄组来源的耐药菌检出率
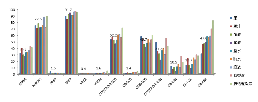
4、不同标本常见耐药菌的检出率分析
观察不同标本来源的常见耐药菌检出率,出现在最高位次数最多的标本为肺泡灌洗液及脑脊液,出现次数最少的标本为伤口脓液。(图17)

图17.不同标本常见耐药菌的检出率

注:数据标签为血液标本来源的耐药菌检出率
十五、重要耐药细菌的变迁分析
1、2018年亚胺培南耐药鲍曼不动杆菌(IMP-R-ABA)检出率为55.4%,与2017年持平,较2016年的59.2%下降3.8%,2014年始连续三年的上升趋势有所遏制。
2、碳青霉烯类耐药肺炎克雷伯菌(CR-KPN)检出率持续上升,从2013年的4.9%上升至2018年的10.1%,有些省份上升速度较快,河南省较2017年的25.9%上升6.6%,较2014年的9.4%上升23.1%,为近五年全国上升最快的地区。
3、对头孢噻肟耐药大肠埃希菌(CTX-R-ECO)检出率呈现逐步下降趋势,从2013年的66.6%逐步下降至2018年的52.6%。
4、甲氧西林耐药金黄色葡萄球菌(MRSA)检出率近五年呈现缓慢下降趋势,从2013年的35.7%逐步下降至2018年至30.9%。
5、2018年青霉素耐药肺炎链球菌(PRSP)、万古霉素耐药屎肠球菌(VREM)及碳青霉烯类耐药大肠埃希菌(CR-ECO)检出率分别为1.8%、1.4%及1.5%,近年来一直维持在较低水平。
6、2018年亚胺培南耐药铜绿假单胞菌(IPM-R-PA)的检出率为18.4%,近三年呈缓慢下降趋势。(图18-1和图18-2)

 18-1 特殊与重要耐药细菌检出率分析

 18-2特殊与重要耐药细菌检出率分析

 

近几年的全国监测数据表明,大肠埃希菌对第三代头孢菌素的耐药率呈明显下降趋势,与2013年相比下降了14%,MRSA、PRSP和IMP-R-PAE呈缓慢下降趋势。可能与近年来医疗机构积极落实国家关于抗菌药物临床合理应用政策、加强医院感染控制所取得的成效相关。随着医院内抗菌药物应用的规范化管理,尤其是外科手术预防使用抗菌药物的限制,广谱类头孢菌素的不合理应用有所减少,降低了肠杆菌科细菌产生ESBLs发生的风险因素。肺炎链球菌是社区感染中最重要的病原菌之一,随着近年对门诊及社区医疗机构抗菌药物应用的严格管控,全国PRSP的检出率也在缓慢下降。
大肠埃希菌对喹诺酮类耐药率地区间略有差异,总体仍然处于相对较高水平,特别是东北和华北部分地区较高,但今年全国大肠埃希菌对喹诺酮类平均耐药率为50.8%,与2014年的54.3%相比略有下降。随着我国卫生行政部门及农业部等多部门联防联控,抗菌药物使用的进一步严格管理,期待大肠埃希菌对喹诺酮类的较高耐药现象能得到缓解。
肺炎克雷伯菌对碳青霉烯类药物的耐药率近几年呈现缓慢上升趋势,全国各地区间有一定差异,河南省及上海市等25个地区2018年碳青霉烯耐药肺炎克雷伯菌检出率较2017年有所增长,其中河南省上升幅度最大,较2017年25.9%上升6.6%。贵州省、江西省、福建省、黑龙江省及宁夏回族自治区5个地区2018年碳青霉烯耐药肺炎克雷伯菌检出率较2017年有所下降,因此对于碳青霉烯耐药肺炎克雷伯菌检出率较高及持续增加的地区,临床更应该给予更多的关注,加强碳青霉烯类抗菌药物应用的管理及加强医院感染的防控手段势在必行。
2018年碳青霉烯类耐药鲍曼不动杆菌的检出率为55.4%,和2017年的55.5%相比基本持平,从2014始连续三年上涨的趋势有所遏制。

碳青霉烯类抗菌药物的不合理使用是细菌对其产生耐药的重要原因。近年来碳青霉烯类抗菌药物的临床使用量和强度逐年增加,肺炎克雷伯菌对碳青霉烯类的耐药率也呈现明显上升趋势。2018年河南省、上海市及北京市是全国碳青霉烯类耐药肺炎克雷伯菌检出率最高的地区。上海市及河南省两个地区近五年CR-KP的检出率持续上升,特别是河南省近五年上升速度较快,需进一步加强抗菌药物合理应用的管理,减少碳青霉烯类抗菌药物的过度使用,做好医院感染防控,防止耐药菌在医院和地区间的传播扩散,减缓对碳青霉烯类抗菌药物的耐药性持续加剧。

十六、小结
1、本年度数据分析在统计和分析方法上与往年保持了一致性,通过系统自动审核及人工审核,对部分不合格的数据进行了剔除,以减少由于个别成员单位的错误数据所致的误差。
2、2018年全国监测数据表明,碳青霉烯类抗菌药物耐药的肺炎克雷伯的检出率呈现缓慢上升趋势,因此限制碳青霉烯类抗菌药物的过度使用至关重要。其他临床常见耐药细菌的检出率呈下降趋势或持平。
3、耐药细菌的检出率存在时间及地域性的差异,第三代头孢菌素耐药的肺炎克雷伯菌、碳青霉烯类耐药的肺炎克雷伯菌及鲍曼不动杆菌在某些地区、某些特定病区及某些人群中较高的检出率应该引起关注,应加强重点区域的抗菌药物合理应用的监管及医院感染防控。

4、重要耐药病原菌检出率的地域分布具有一定规律, 各种耐药菌检出率排名前三位地区中,河南省和上海市均出现5次,次数最多。河南省碳青霉烯类耐药的鲍曼不动杆菌、肺炎克雷伯菌、大肠埃希菌及第三代头孢菌素耐药的肺炎克雷伯菌、大肠埃希菌的检出率均为全国第一。各项耐药率排名后三位的地区中,出现次数最多的地区为青海省,共出现8次,其次为宁夏回族自治区出现5次。

5、本报告为2017年10月-2018年9月全国细菌耐药监测结果的总报告。各省、全国三级医院、二级医院、儿童专科医院、不同年龄、不同标本以及门急诊患者、住院患者、重症监护病房患者等细菌耐药状况的详细数据请见各专业版报告。
声明:
1、凡本网注明“来源:小桔灯网”的所有作品,均为本网合法拥有版权或有权使用的作品,转载需联系授权。
2、凡本网注明“来源:XXX(非小桔灯网)”的作品,均转载自其它媒体,转载目的在于传递更多信息,并不代表本网赞同其观点和对其真实性负责。其版权归原作者所有,如有侵权请联系删除。
3、所有再转载者需自行获得原作者授权并注明来源。

最新评论

关闭

官方推荐 上一条 /3 下一条

客服中心 搜索 洽谈合作
返回顶部