立即注册找回密码

QQ登录

只需一步,快速开始

微信登录

微信扫一扫,快速登录

搜索
小桔灯网 门户 资讯中心 注册标准 查看内容

定量试剂标准曲线常用的函数和拟合软件

2018-4-22 00:00| 编辑: 小桔灯网| 查看: 11968| 评论: 0|来源: IVD星火 丨 作者:IVD_晨

摘要: 定量体外诊断试剂盒,测定未知样本待测物的浓度含量,是以系列浓度标准品测得剂量反应曲线,即得到标准曲线,再以此计算待测样本的浓度。当我们得到一系列已知浓度标准品的反应后,就会去建立函数关系,数学上称曲线 ...

定量体外诊断试剂盒,测定未知样本待测物的浓度含量,是以系列浓度标准品测得剂量反应曲线,即得到标准曲线,再以此计算待测样本的浓度。


当我们得到一系列已知浓度标准品的反应后,就会去建立函数关系,数学上称曲线拟合,根据试剂反应信号趋势的不同会用到不同拟合方式。


反应中待测物质和免疫反应之间的关系一般不是简单的直线,这就存在系列浓度标准品与检测结果有多种曲线拟合方式。不同类型的试剂由于待测物不同、检测方法不同等,试剂反应信号趋势并不相同。建立标准曲线,选择合适的数学模型(函数),提高剂量反应曲线绘制的准确度,从而获得较为精确的待测物浓度结果。一般单纯的线性回归不能说明真实的免疫反应情况,因此标准曲线主要是非线性拟合。


一般采用差值法(内插法)或者曲线拟合的方式获得标准曲线。

差值法(Interpolation Method):用函数f (x)在某区间中已知的若干点的函数值,作出适当的特定函数,在区间的其他点上用这特定函数的值作为函数f (x)的近似值。该方法以假定数据正确为前提,要求以某种方法描述数据点之间所发生关系或规律。即插值是找到一个或几个分片光滑的连续曲面来穿过这些点

曲线拟合(Curve Fitting):用连续曲线近似地刻画或比拟平面上离散数据点所表示的坐标之间的函数关系的一种数据处理方法。将测得许多离散的实验数据(比如标准品浓度与测定信号值),寻找一条连续光滑曲线来近似反映已知数据组间存在的某种关系的一般趋势,所得近似函数f(x)可以很好地逼近离散数据,这个函数逼近的过程称为曲线拟合。这条光滑曲线,能最佳地拟合数据,通常不必要经过所有数据点,甚至可能不经过任何数据点,曲线拟合公式反映的是数据点整体的变化趋势


拟合与差值的比较

运算过程上的区别:

拟合:将数据点用最恰当的曲线描述出来,反映问题的规律和趋势,是从特殊到一般

插值:在知道曲线的形状后,得出某些具体点的性质的过程,是从一般到特殊

求解误差上的区别:

拟合:在误差不可避免时考虑观察点的误差,以偏差的某种最小为拟合标准。

插值:在观测点处无误差。

常用的数学函数举例


一、插值法:

插值法又可分为线性插值法和样条插值法。


1. 线性插值法(Linear interpolation):

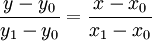
线性插值法是指使用连接两个已知量的直线来确定在这两个已知量之间的一个未知量的值的方法。

最简单的例子:假设我们已知坐标(x0,y0)与(x1,y1),要得到[x0,x1]区间内某一位置x在直线上的值。根据图中所示,我们得到两点式直线方程:

   

 


可以通过增加多个校准数据点的方法来使线性插值就更精确。线性插值法通常适用于线性范围宽且校准点足够多的情况,或者用于标准曲线的校准。


2. 样条插值法(Spline interpolation):

样条插值法是一种以可变样条来作出一条经过一系列点的光滑曲线的数学方法,是一种改进的分段插值。

插值样条是由一些多项式组成的,每一个多项式都是由相邻的两个数据点决定的,这样,任意的两个相邻的多项式以及它们的导数在连接点处都是连续的。当希望曲线密切遵循单个的校准物数据点时使用,此时要求数据非常精密,需要有多个浓度校准物。在校准数据点越多时,其拟合的效果也和实际结果越吻合。该方法计算较为复杂,在大型自动化的分析仪器中通常使用该方法处理和分析数据。

线性差值和样条插值的比较

最常用的样条插值法是:三次样条插值(Cubic Spline Interpolation),简称Spline插值,是一段一段的三次多项式拼合而成的曲线,数学上通过求解三弯矩方程组得出曲线函数组的过程。

样条插值(图片来源于网络)


二、曲线拟合或回归


拟合曲线及相应数学公式表明标准品浓度与测定信号值之间的比例关系。常见的拟合曲线有指数曲线拟合、对数曲线拟合、双曲线模式、多项式模式、Logit-Log转换Logistic公式等。


1. 双曲线拟合

当浓度范围不是很宽时,竞争法的反应能很好的使用双曲线公式拟合。

双曲线公式:y=a +b(1/x)


2. 对数拟合

对数拟合公式如下:

y=a +blgx


由此可以产生以下两种拟合:

Log-Log拟合:将反应值和对应的浓度值均取对数,然后再进行直线回归,方程式为:lg(y) = a lg(x) + b ,该转换可用于夹心法。该方法不能有零浓度值校准点。

Logit-Log拟合:Logit 变换源于数学中的 Logistic 曲线,这个模型一般适用于竞争法的拟合。令Y=Logit(B/B0),X=logx,进行最小平方回归可得到良好的拟合曲线,如下图。该拟合需要有一个零浓度测试的反应值。

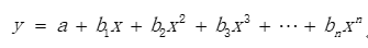
3. 多项式拟合

N次多项式方程:                            

 

在标准曲线拟合时最常用的是三次多项式y = a + b*x + c*x^2 + d*x^3,在测试实验结果刚好在曲线的单调递升或者递减段的时候,能很好的拟合竞争法和夹心法的曲线。但是当测试结果的曲线趋近于直线时,往往不能很好的拟合。

4. Logistic拟合

一般Logistic拟合较为复杂,免疫学反应常采用四参数拟合,四参数数学模型如下所示:

a:曲线上渐近线估值,即反应最大值

d:曲线下渐近线估值,即反应的本底

b:曲线拐点处的斜率

c:最大结合一半时对应的剂量,即拐点


它的曲线单调上升(或下降),其形状根据数据点的情况可能是一条S型曲线,或者S型曲线的某一段。因此,很多情况下都能很好的拟合免疫学反应标准曲线,同时适用于竞争法和夹心法。


四参数公式具体算法实现基于高斯牛顿迭代法:其基本思想是使用泰勒级数展开式去近似地代替非线性回归模型,然后通过多次迭代,多次修正回归系数,使回归系数不断逼近非线性回归模型的最佳回归系数,最后使原模型的残差平方和达到最小。

实际使用过程中,可以固定a值和d值,这样只需拟合两个参数。


标准曲线拟合和绘制软件推荐


1. ELISA Calc软件:简单的拟合计算程序

 


2. GraphPad PRISM v5.0 

 


3. SigmaStat v3.11

 


4. Curve Expert v1.3


 图片来源于网络

5. OriginPro



参考书籍推荐:

《医学统计学》中国协和医科大学出版社 刘桂芬主编

《生物医学研究的统计方法》 高等教育出版社 方积乾主编

《MATLAB数学实验与建模》 清华大学出版社 

声明:
1、凡本网注明“来源:小桔灯网”的所有作品,均为本网合法拥有版权或有权使用的作品,转载需联系授权。
2、凡本网注明“来源:XXX(非小桔灯网)”的作品,均转载自其它媒体,转载目的在于传递更多信息,并不代表本网赞同其观点和对其真实性负责。其版权归原作者所有,如有侵权请联系删除。
3、所有再转载者需自行获得原作者授权并注明来源。

最新评论

关闭

官方推荐 上一条 /3 下一条

客服中心 搜索 洽谈合作
返回顶部